🇳🇴 🇬🇧 🇩🇪 🇨🇿 🇫🇮

Meteor, poloha: Vik 2025-01-04 00:11:14 UTC

Soubor KML  |  InteraktivnĂ­ mapa

Mapa zobrazuje dráhy meteoru. Světlejší čáry ukazují směry od pozorovacích stanic při objevení se meteoru a tmavší čáry, kde byl naposledy viděn. Modrá šipka značí viditelnou dráhu meteoru.

static map
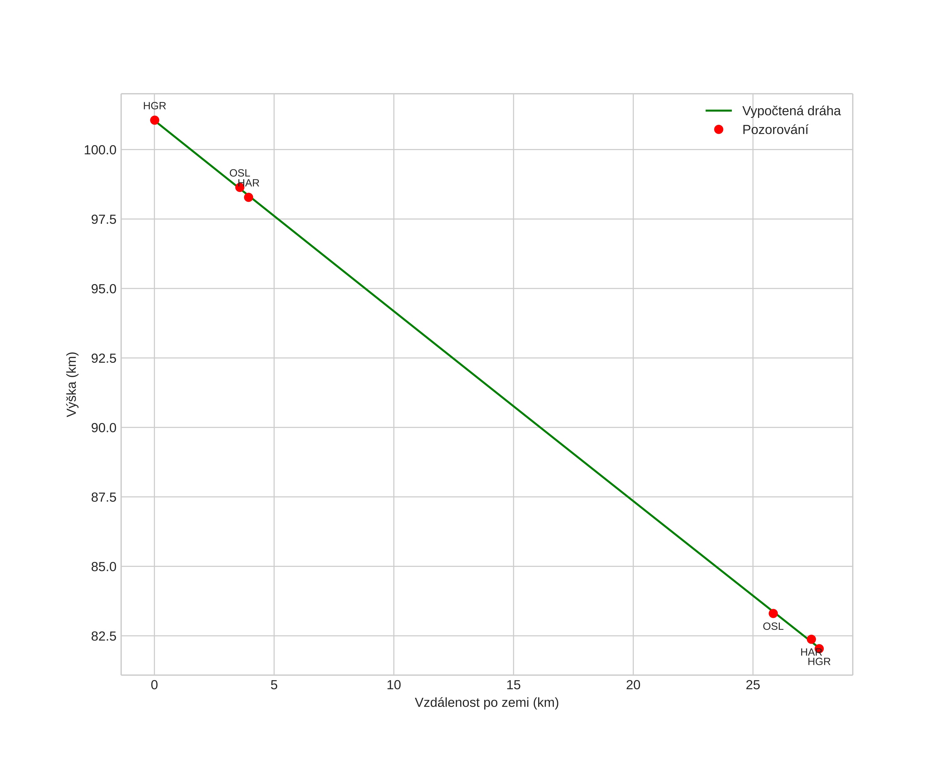
height profile
Atmosférická dráha meteoru:
Počáteční výška: 102,1 km
Konečná výška: 81,9 km
Počáteční poloha: 61,230N 6,962E
Konečná poloha: 61,028N 6,574E
Směr: 223,1°
Sklon: 33,4°
VstupnĂ­ rychlost: 43,2 km/s
Rektascenze radiantu: 15:18 (229,7°)
Deklinace radiantu: 50,3°
MeteorickĂ˝ roj: Kvadrantidy
Elementy dráhy meteoroidu:
Vzdálenost v periheliu: 0,981 AU
Excentricita: 0,719
Sklon dráhy: 71,9°
Délka vzestupného uzlu: 283,5°
Argument perihelia: 174,2°
Střední anomálie: 0,7°
Epocha: 2025 JAN 04 00:11:14
orbit plot

NeinteraktivnĂ­ graf | InteraktivnĂ­ graf

position vs time
speed and acceleration

Harestua (HAR) cam5


gnomonic
Videa
• Gnomonická
• Gnomonická se souřadnicemi
• Původní
• Původní se souřadnicemi
Obrázky
• Gnomonická
• Gnomonická se souřadnicemi
• Gnomonická s popisky
• Původní
• Původní se souřadnicemi
Textové soubory
• Detekce
• Pozorování
• Souřadnice
• Protokol
Jasnost