🇳🇴 🇬🇧 🇩🇪 🇨🇿 🇫🇮

Meteor, poloha: Hagfors 2025-01-04 00:51:49 UTC

Soubor KML  |  InteraktivnĂ­ mapa

Mapa zobrazuje dráhy meteoru. Světlejší čáry ukazují směry od pozorovacích stanic při objevení se meteoru a tmavší čáry, kde byl naposledy viděn. Modrá šipka značí viditelnou dráhu meteoru.

static map
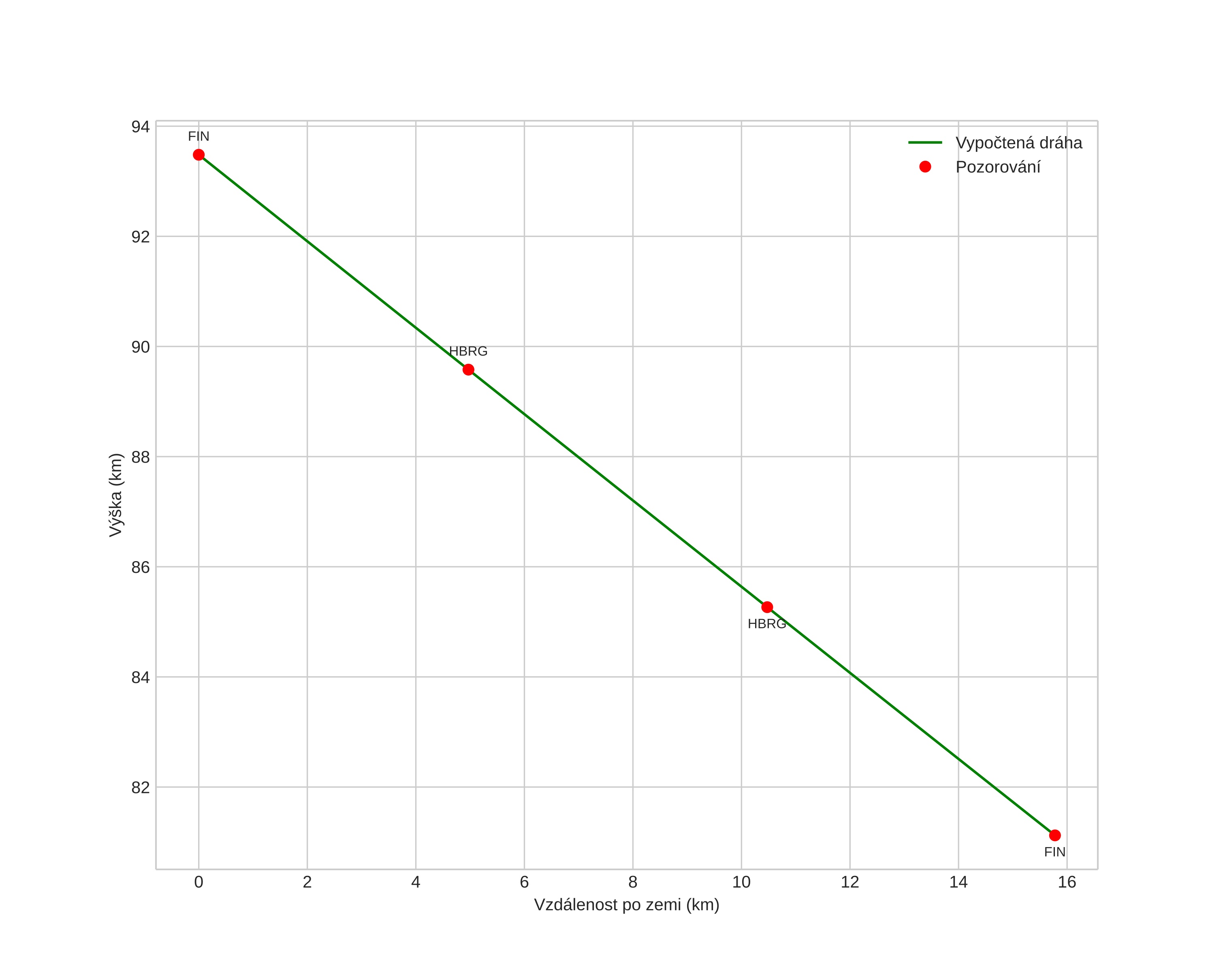
height profile
Atmosférická dráha meteoru:
Počáteční výška: 97,4 km
Konečná výška: 81,1 km
Počáteční poloha: 60,265N 13,988E
Konečná poloha: 60,148N 13,695E
Směr: 231,2°
Sklon: 38,1°
VstupnĂ­ rychlost: 40,4 km/s
Rektascenze radiantu: 15:31 (232,9°)
Deklinace radiantu: 50,7°
MeteorickĂ˝ roj: Kvadrantidy
Elementy dráhy meteoroidu:
Vzdálenost v periheliu: 0,978 AU
Excentricita: 0,622
Sklon dráhy: 67,6°
Délka vzestupného uzlu: 283,6°
Argument perihelia: 170,7°
Střední anomálie: 1,7°
Epocha: 2025 JAN 04 00:51:49
orbit plot

NeinteraktivnĂ­ graf | InteraktivnĂ­ graf

position vs time
speed and acceleration