🇳🇴 🇬🇧 🇩🇪 🇨🇿 🇫🇮

Meteor, poloha: Ed 2025-01-04 19:05:57 UTC

Soubor KML  |  InteraktivnĂ­ mapa

Mapa zobrazuje dráhy meteoru. Světlejší čáry ukazují směry od pozorovacích stanic při objevení se meteoru a tmavší čáry, kde byl naposledy viděn. Modrá šipka značí viditelnou dráhu meteoru.

static map
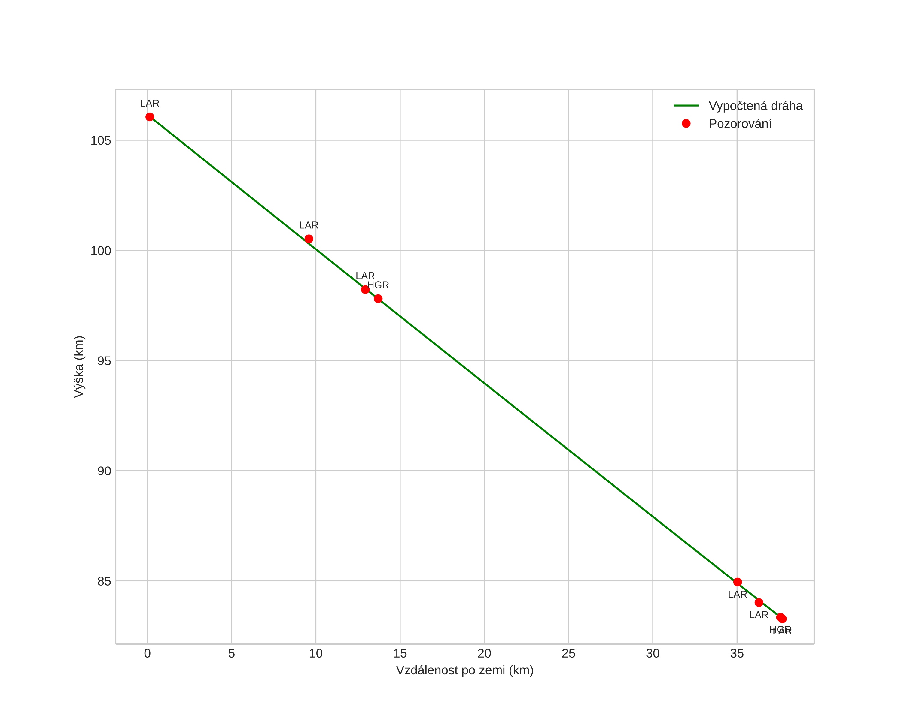
height profile
Atmosférická dráha meteoru:
Počáteční výška: 101,2 km
Konečná výška: 82,8 km
Počáteční poloha: 58,949N 12,262E
Konečná poloha: 58,935N 11,729E
Směr: 267,4°
Sklon: 31,0°
VstupnĂ­ rychlost: 37,4 km/s
Rektascenze radiantu: 07:54 (118,6°)
Deklinace radiantu: 26,5°
MeteorickĂ˝ roj: sporadickĂ˝
Elementy dráhy meteoroidu:
Vzdálenost v periheliu: 0,309 AU
Excentricita: 0,986
Sklon dráhy: 8,3°
Délka vzestupného uzlu: 284,3°
Argument perihelia: 292,4°
Střední anomálie: 359,6°
Epocha: 2025 JAN 04 19:05:57
orbit plot

NeinteraktivnĂ­ graf | InteraktivnĂ­ graf

position vs time
speed and acceleration