🇳🇴 🇬🇧 🇩🇪 🇨🇿 🇫🇮

Meteor über Skarnes 2025-01-05 02:00:42 UTC

KML-Datei  |  Interaktive Karte

Die Karte zeigt die Peilungen für den Meteor. Die helleren Linien zeigen die Richtungen von den Beobachtungsorten beim Erscheinen des Meteors, und die dunkleren Linien, wo er zuletzt gesehen wurde. Der blaue Pfeil zeigt die sichtbare Bahn des Meteors.

static map
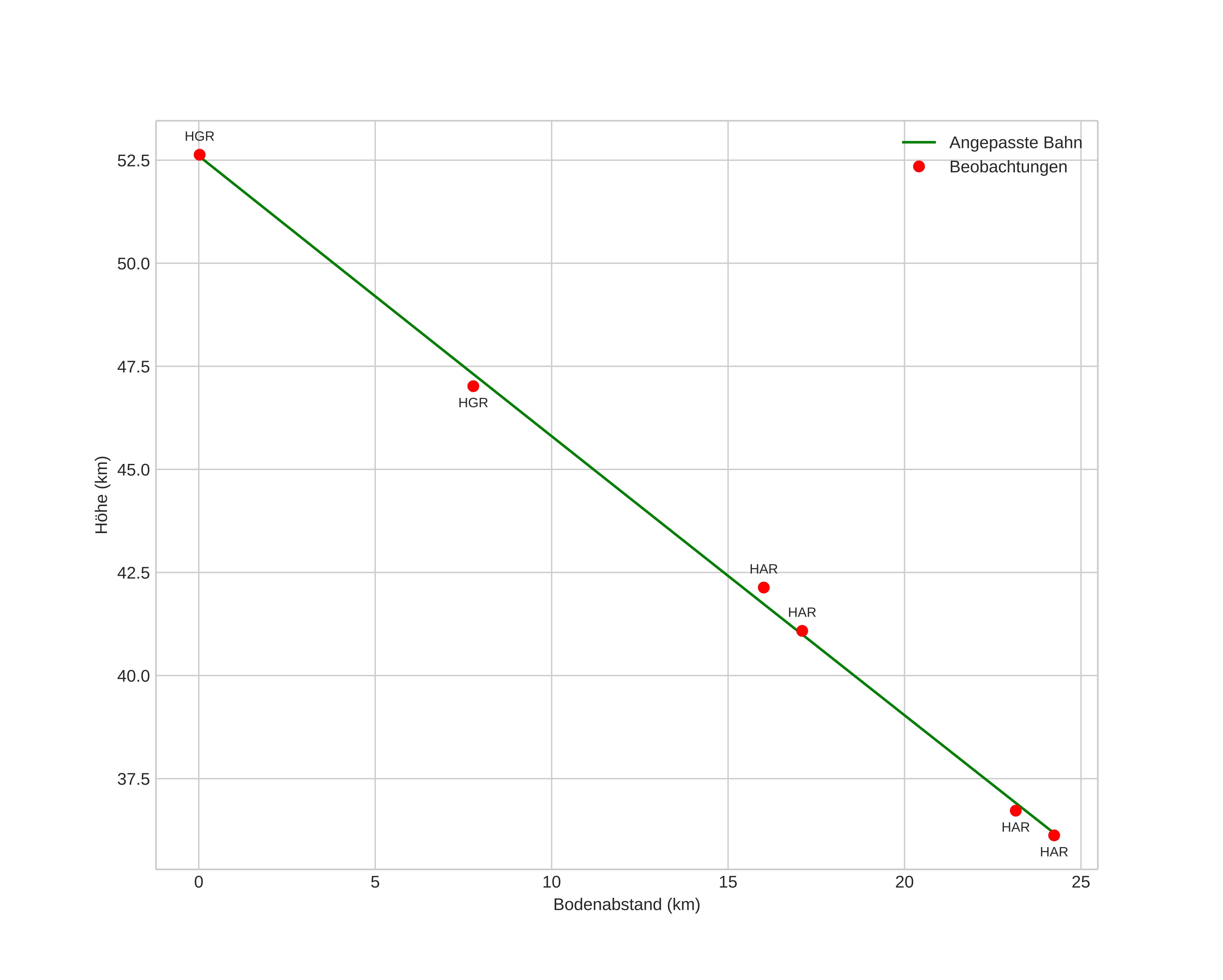
height profile
Atmosphärische Bahn des Meteors:
Anfangshöhe: 53,9 km
Endhöhe: 45,5 km
Startposition: 59,998N 12,051E
Endposition: 60,282N 11,695E
Richtung: 328,2°
Neigungswinkel: 12,7°
orbit plot

Nicht-interaktives Diagramm | Interaktives Diagramm

position vs time
speed and acceleration