🇳🇴 🇬🇧 🇩🇪 🇨🇿 🇫🇮

Meteor, poloha: Ørsta 2025-01-05 06:06:30 UTC

Soubor KML  |  Interaktivní mapa

Mapa zobrazuje dráhy meteoru. Světlejší čáry ukazují směry od pozorovacích stanic při objevení se meteoru a tmavší čáry, kde byl naposledy viděn. Modrá šipka značí viditelnou dráhu meteoru.

static map
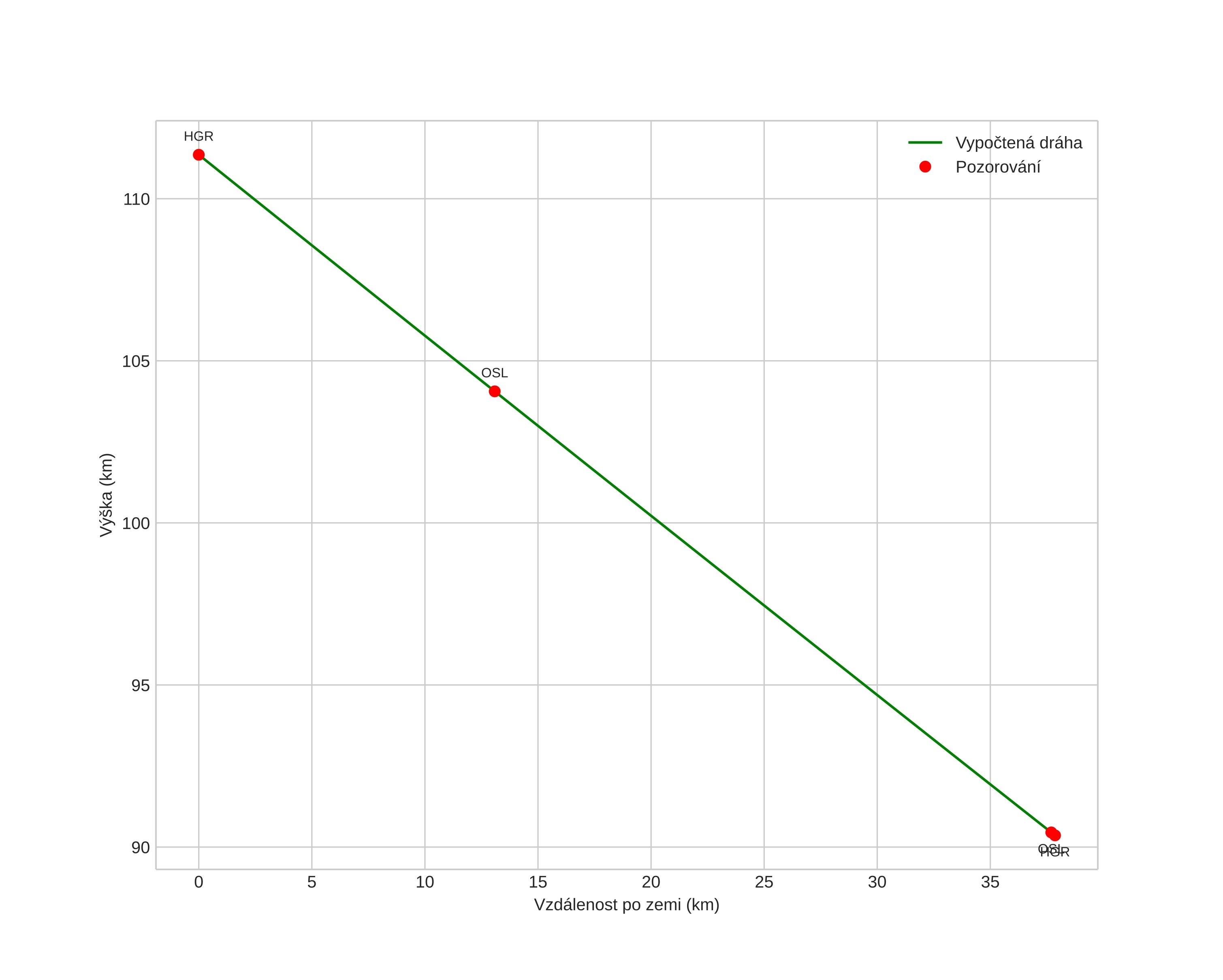
height profile
Atmosférická dráha meteoru:
Počáteční výška: 111,2 km
Konečná výška: 89,5 km
Počáteční poloha: 61,771N 6,699E
Konečná poloha: 62,048N 6,228E
Směr: 321,6°
Sklon: 28,8°
Vstupní rychlost: 70,8 km/s
Rektascenze radiantu: 15:44 (236,1°)
Deklinace radiantu: 5,4°
Meteorický roj: sporadický
Elementy dráhy meteoroidu:
Vzdálenost v periheliu: 0,527 AU
Excentricita: 1,559
Sklon dráhy: 124,7°
Délka vzestupného uzlu: 284,8°
Argument perihelia: 103,8°
Střední anomálie: 31,5°
Epocha: 2025 JAN 05 06:06:30
orbit plot

Neinteraktivní graf | Interaktivní graf

position vs time
speed and acceleration