🇳🇴 🇬🇧 🇩🇪 🇨🇿 🇫🇮

Meteor, poloha: Risør 2025-01-08 04:53:21 UTC

Soubor KML  |  InteraktivnĂ­ mapa

Mapa zobrazuje dráhy meteoru. Světlejší čáry ukazují směry od pozorovacích stanic při objevení se meteoru a tmavší čáry, kde byl naposledy viděn. Modrá šipka značí viditelnou dráhu meteoru.

static map
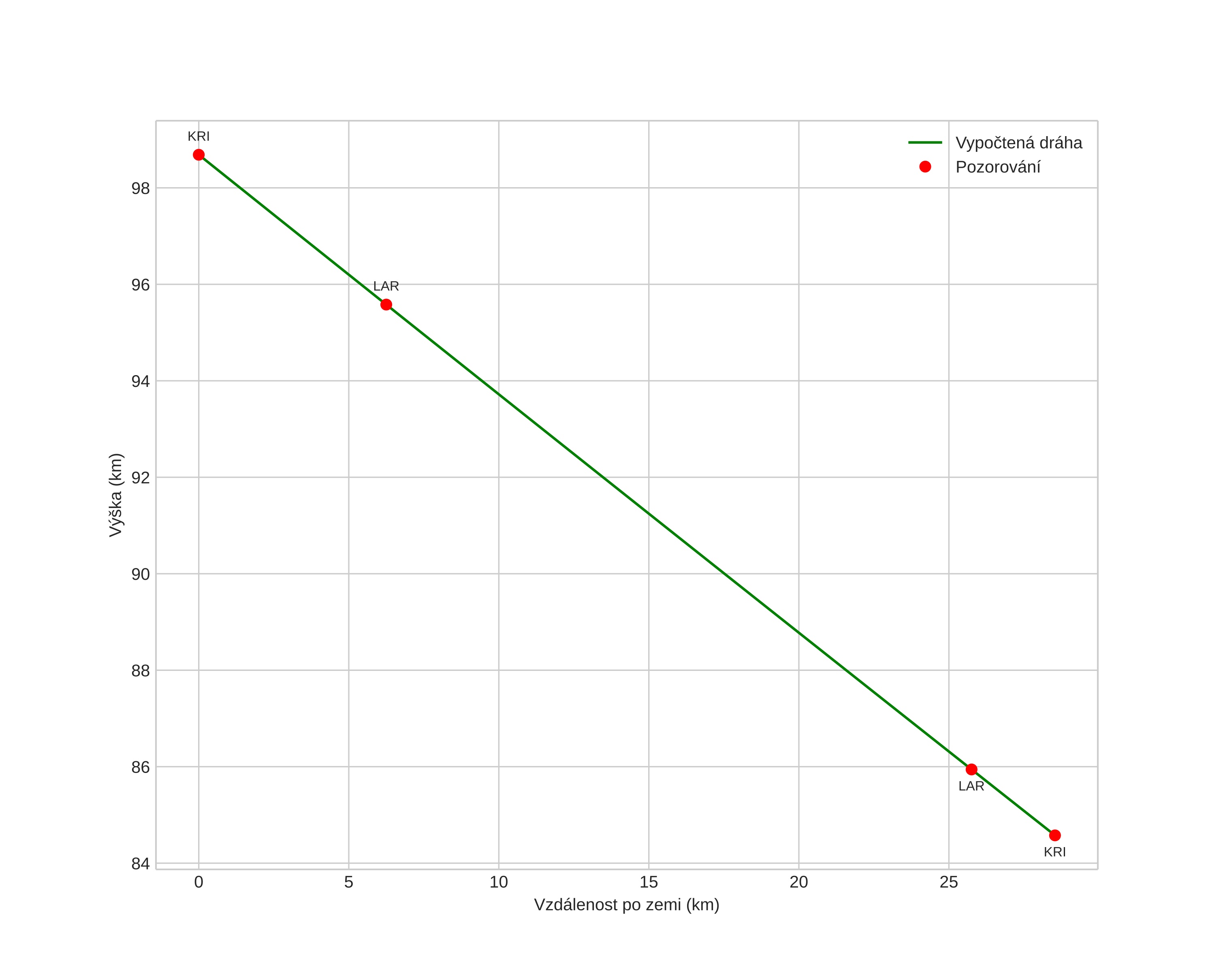
height profile
Atmosférická dráha meteoru:
Počáteční výška: 98,7 km
Konečná výška: 84,5 km
Počáteční poloha: 58,539N 9,886E
Konečná poloha: 58,563N 9,395E
Směr: 275,7°
Sklon: 26,4°
VstupnĂ­ rychlost: 39,2 km/s
Rektascenze radiantu: 17:30 (262,5°)
Deklinace radiantu: 18,3°
MeteorickĂ˝ roj: sporadickĂ˝
Elementy dráhy meteoroidu:
Vzdálenost v periheliu: 0,544 AU
Excentricita: 0,836
Sklon dráhy: 54,8°
Délka vzestupného uzlu: 287,8°
Argument perihelia: 91,1°
Střední anomálie: 6,9°
Epocha: 2025 JAN 08 04:53:21
orbit plot

NeinteraktivnĂ­ graf | InteraktivnĂ­ graf

position vs time
speed and acceleration