🇳🇴 🇬🇧 🇩🇪 🇨🇿 🇫🇮

Meteor, poloha: Rjukan 2025-01-10 21:58:51 UTC

Soubor KML  |  InteraktivnĂ­ mapa

Mapa zobrazuje dráhy meteoru. Světlejší čáry ukazují směry od pozorovacích stanic při objevení se meteoru a tmavší čáry, kde byl naposledy viděn. Modrá šipka značí viditelnou dráhu meteoru.

static map
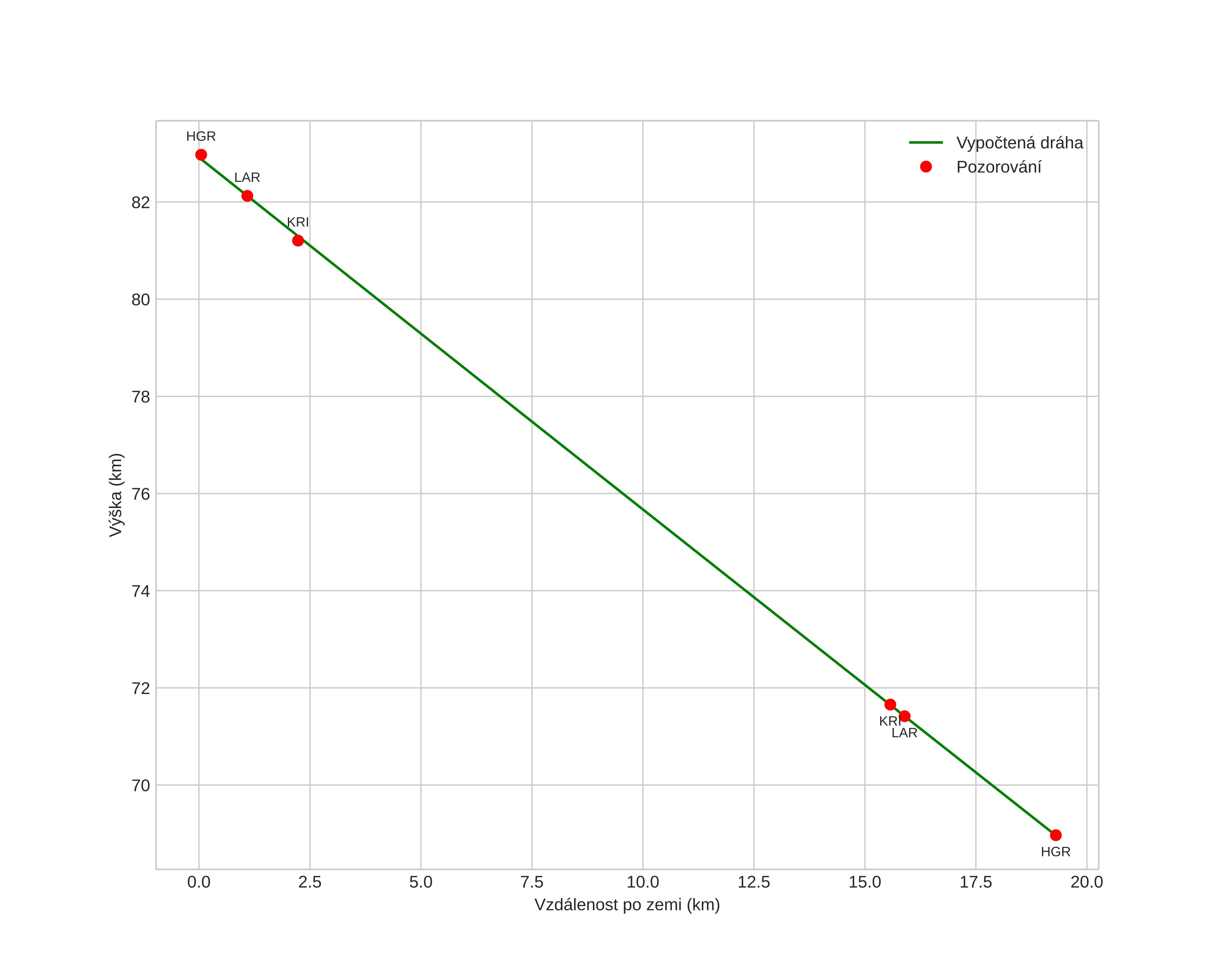
height profile
Atmosférická dráha meteoru:
Počáteční výška: 83,9 km
Konečná výška: 69,0 km
Počáteční poloha: 59,791N 8,983E
Konečná poloha: 59,938N 8,752E
Směr: 321,7°
Sklon: 35,7°
VstupnĂ­ rychlost: 31,5 km/s
Rektascenze radiantu: 07:59 (120,0°)
Deklinace radiantu: 8,7°
MeteorickĂ˝ roj: sporadickĂ˝
Elementy dráhy meteoroidu:
Vzdálenost v periheliu: 0,401 AU
Excentricita: 0,854
Sklon dráhy: 13,0°
Délka vzestupného uzlu: 110,6°
Argument perihelia: 106,6°
Střední anomálie: 351,0°
Epocha: 2025 JAN 10 21:58:51
orbit plot

NeinteraktivnĂ­ graf | InteraktivnĂ­ graf

position vs time
speed and acceleration