🇳🇴 🇬🇧 🇩🇪 🇨🇿 🇫🇮

Meteor, poloha: Lampeland 2025-01-11 19:52:08 UTC

Soubor KML  |  InteraktivnĂ­ mapa

Mapa zobrazuje dráhy meteoru. Světlejší čáry ukazují směry od pozorovacích stanic při objevení se meteoru a tmavší čáry, kde byl naposledy viděn. Modrá šipka značí viditelnou dráhu meteoru.

static map
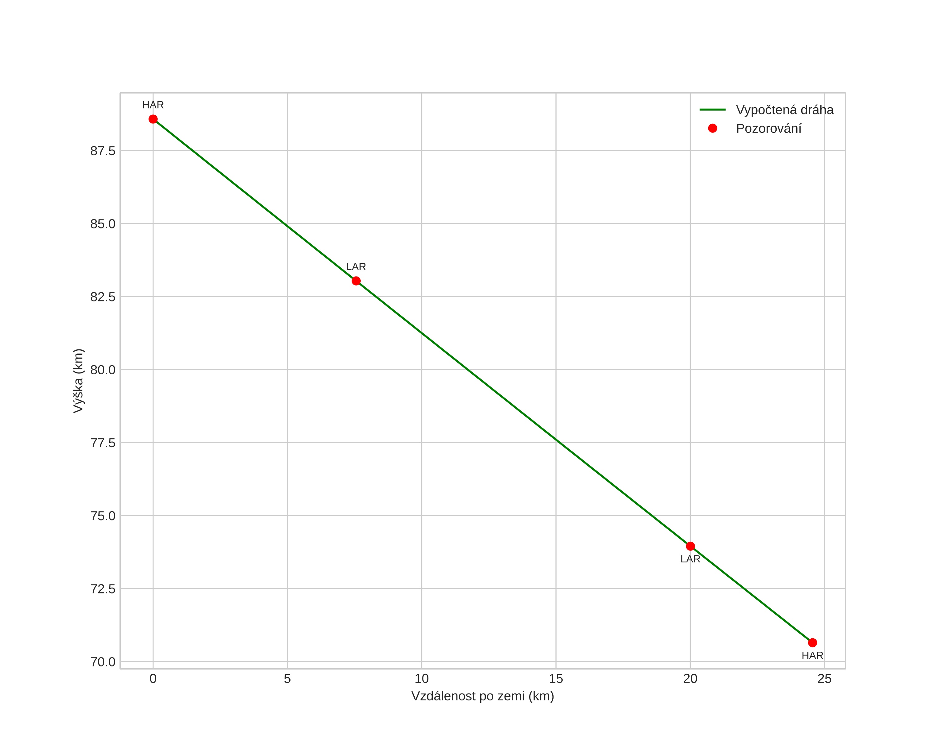
height profile
Atmosférická dráha meteoru:
Počáteční výška: 87,7 km
Konečná výška: 70,7 km
Počáteční poloha: 59,659N 9,735E
Konečná poloha: 59,852N 9,546E
Směr: 333,9°
Sklon: 35,4°
VstupnĂ­ rychlost: 16,9 km/s
Rektascenze radiantu: 05:24 (81,2°)
Deklinace radiantu: -0,7°
MeteorickĂ˝ roj: sporadickĂ˝
Elementy dráhy meteoroidu:
Vzdálenost v periheliu: 0,897 AU
Excentricita: 0,627
Sklon dráhy: 8,0°
Délka vzestupného uzlu: 111,5°
Argument perihelia: 39,4°
Střední anomálie: 352,5°
Epocha: 2025 JAN 11 19:52:08
orbit plot

NeinteraktivnĂ­ graf | InteraktivnĂ­ graf

position vs time
speed and acceleration