🇳🇴 🇬🇧 🇩🇪 🇨🇿 🇫🇮

Meteor, poloha: SkĂĄlevik 2025-01-12 06:40:21 UTC

Soubor KML  |  InteraktivnĂ­ mapa

Mapa zobrazuje dráhy meteoru. Světlejší čáry ukazují směry od pozorovacích stanic při objevení se meteoru a tmavší čáry, kde byl naposledy viděn. Modrá šipka značí viditelnou dráhu meteoru.

static map
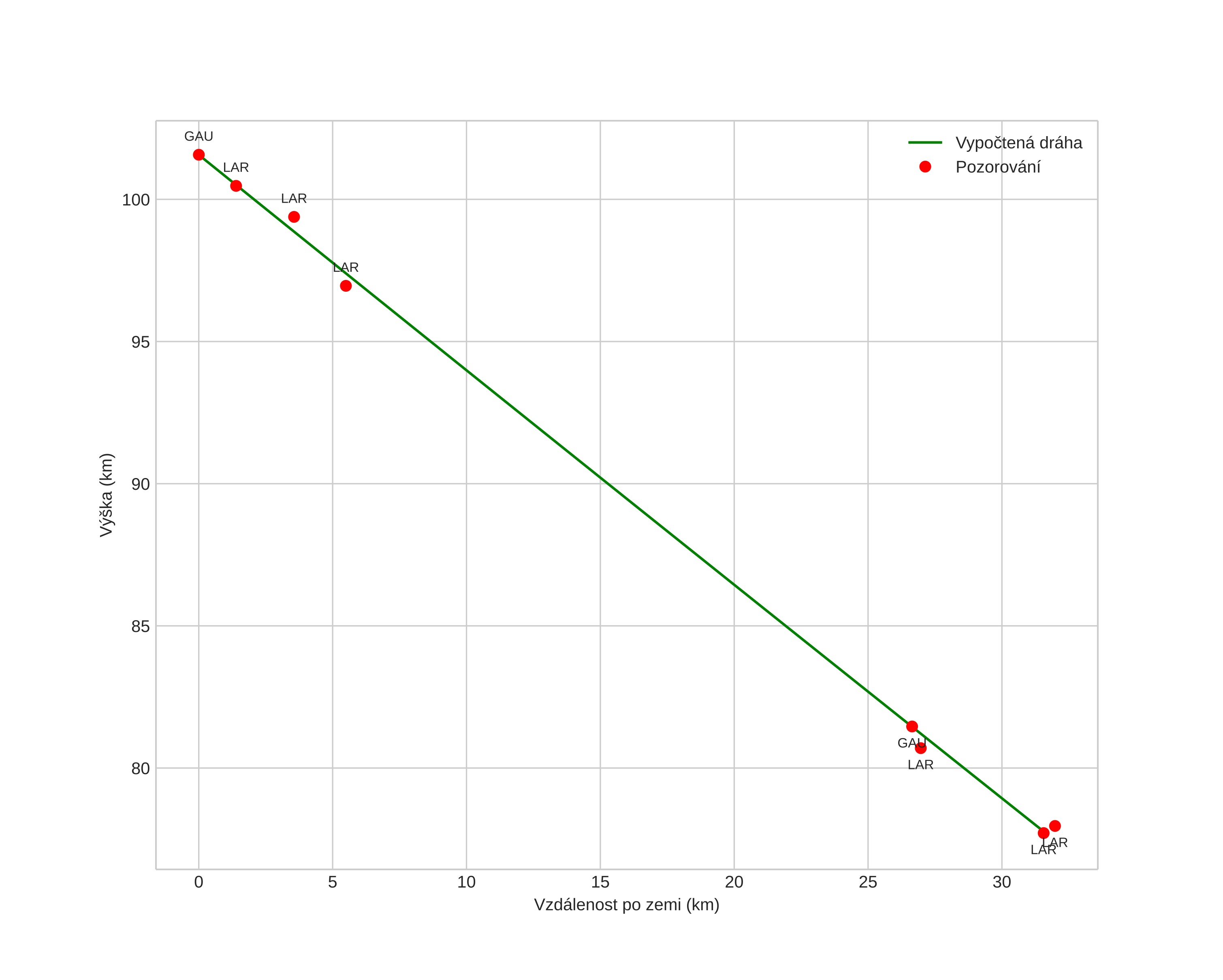
height profile
Atmosférická dráha meteoru:
Počáteční výška: 102,6 km
Konečná výška: 77,8 km
Počáteční poloha: 57,647N 8,875E
Konečná poloha: 57,735N 8,350E
Směr: 287,8°
Sklon: 37,2°
VstupnĂ­ rychlost: 38,0 km/s
Rektascenze radiantu: 18:24 (276,2°)
Deklinace radiantu: 21,3°
MeteorickĂ˝ roj: sporadickĂ˝
Elementy dráhy meteoroidu:
Vzdálenost v periheliu: 0,656 AU
Excentricita: 1,036
Sklon dráhy: 46,4°
Délka vzestupného uzlu: 292,0°
Argument perihelia: 110,2°
Střední anomálie: 0,5°
Epocha: 2025 JAN 12 06:40:21
orbit plot

NeinteraktivnĂ­ graf | InteraktivnĂ­ graf

position vs time
speed and acceleration