🇳🇴 🇬🇧 🇩🇪 🇨🇿 🇫🇮

Meteor, poloha: Treungen 2025-01-14 02:15:09 UTC

Soubor KML  |  InteraktivnĂ­ mapa

Mapa zobrazuje dráhy meteoru. Světlejší čáry ukazují směry od pozorovacích stanic při objevení se meteoru a tmavší čáry, kde byl naposledy viděn. Modrá šipka značí viditelnou dráhu meteoru.

static map
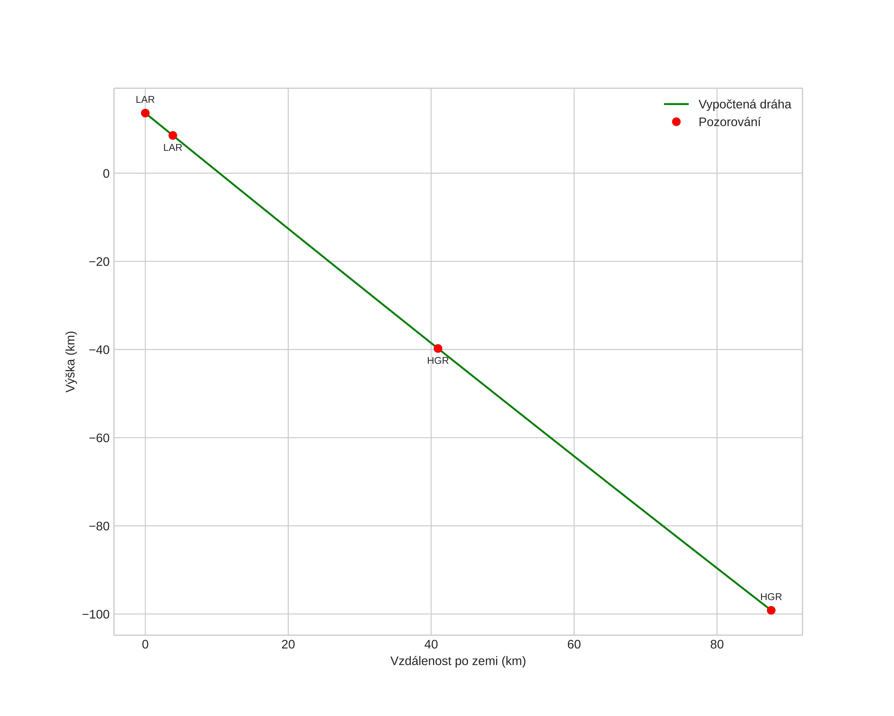
height profile
Atmosférická dráha meteoru:
Počáteční výška: 13,2 km
Konečná výška: -103,8 km
Počáteční poloha: 59,577N 9,849E
Konečná poloha: 59,034N 8,608E
Směr: 229,9°
Sklon: 51,6°
orbit plot
position vs time
speed and acceleration