🇳🇴 🇬🇧 🇩🇪 🇨🇿 🇫🇮

Meteor, poloha: Kviteseid 2025-01-17 17:27:54 UTC

Soubor KML  |  InteraktivnĂ­ mapa

Mapa zobrazuje dráhy meteoru. Světlejší čáry ukazují směry od pozorovacích stanic při objevení se meteoru a tmavší čáry, kde byl naposledy viděn. Modrá šipka značí viditelnou dráhu meteoru.

static map
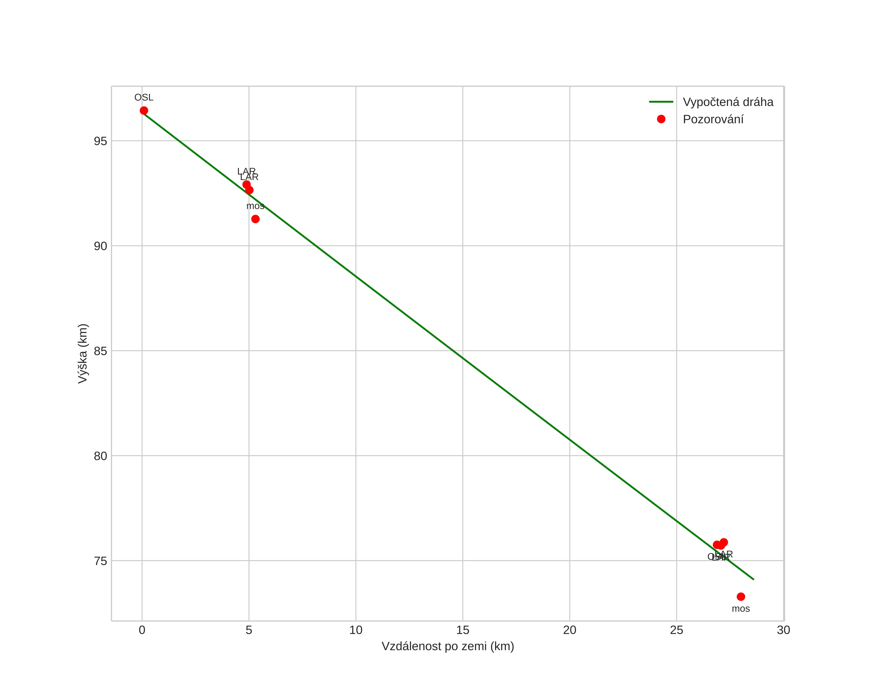
height profile
Atmosférická dráha meteoru:
Počáteční výška: 95,4 km
Konečná výška: 74,3 km
Počáteční poloha: 59,700N 8,135E
Konečná poloha: 59,467N 8,275E
Směr: 163,0°
Sklon: 38,0°
VstupnĂ­ rychlost: 37,3 km/s
Rektascenze radiantu: 16:04 (241,2°)
Deklinace radiantu: 64,4°
MeteorickĂ˝ roj: sporadickĂ˝
Elementy dráhy meteoroidu:
Vzdálenost v periheliu: 0,976 AU
Excentricita: 0,993
Sklon dráhy: 55,6°
Délka vzestupného uzlu: 297,5°
Argument perihelia: 190,0°
Střední anomálie: 360,0°
Epocha: 2025 JAN 17 17:27:54
orbit plot

NeinteraktivnĂ­ graf | InteraktivnĂ­ graf

position vs time
speed and acceleration