🇳🇴 🇬🇧 🇩🇪 🇨🇿 🇫🇮

Meteor, poloha: DombĂĄs 2025-01-17 23:20:33 UTC

Soubor KML  |  InteraktivnĂ­ mapa

Mapa zobrazuje dráhy meteoru. Světlejší čáry ukazují směry od pozorovacích stanic při objevení se meteoru a tmavší čáry, kde byl naposledy viděn. Modrá šipka značí viditelnou dráhu meteoru.

static map
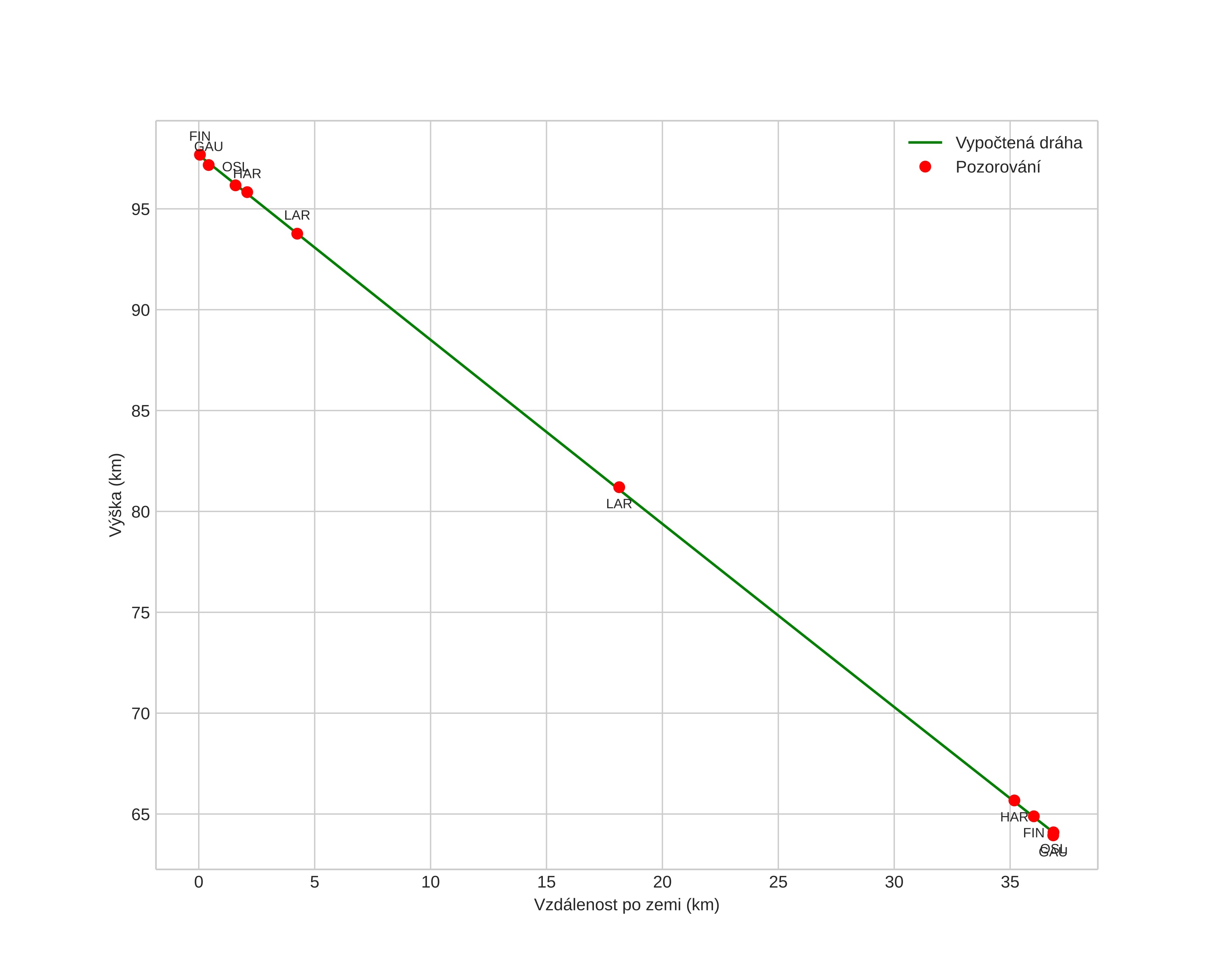
height profile
Atmosférická dráha meteoru:
Počáteční výška: 97,6 km
Konečná výška: 63,9 km
Počáteční poloha: 61,813N 9,527E
Konečná poloha: 62,046N 9,029E
Směr: 315,1°
Sklon: 42,5°
VstupnĂ­ rychlost: 40,9 km/s
Rektascenze radiantu: 10:02 (150,6°)
Deklinace radiantu: 19,7°
MeteorickĂ˝ roj: sporadickĂ˝
Elementy dráhy meteoroidu:
Vzdálenost v periheliu: 0,093 AU
Excentricita: 0,951
Sklon dráhy: 22,3°
Délka vzestupného uzlu: 297,8°
Argument perihelia: 329,0°
Střední anomálie: 347,5°
Epocha: 2025 JAN 17 23:20:33
orbit plot

NeinteraktivnĂ­ graf | InteraktivnĂ­ graf

position vs time
speed and acceleration

Voksenlia (OSL) cam1


gnomonic
Videa
• Gnomonická
• Gnomonická se souřadnicemi
• Původní
• Původní se souřadnicemi
Obrázky
• Gnomonická
• Gnomonická se souřadnicemi
• Původní
• Původní se souřadnicemi
Textové soubory
• Detekce
• Pozorování
• Souřadnice
• Protokol
Jasnost