🇳🇴 🇬🇧 🇩🇪 🇨🇿 🇫🇮

Meteor, poloha: Kviteseid 2025-01-17 23:27:41 UTC

Soubor KML  |  InteraktivnĂ­ mapa

Mapa zobrazuje dráhy meteoru. Světlejší čáry ukazují směry od pozorovacích stanic při objevení se meteoru a tmavší čáry, kde byl naposledy viděn. Modrá šipka značí viditelnou dráhu meteoru.

static map
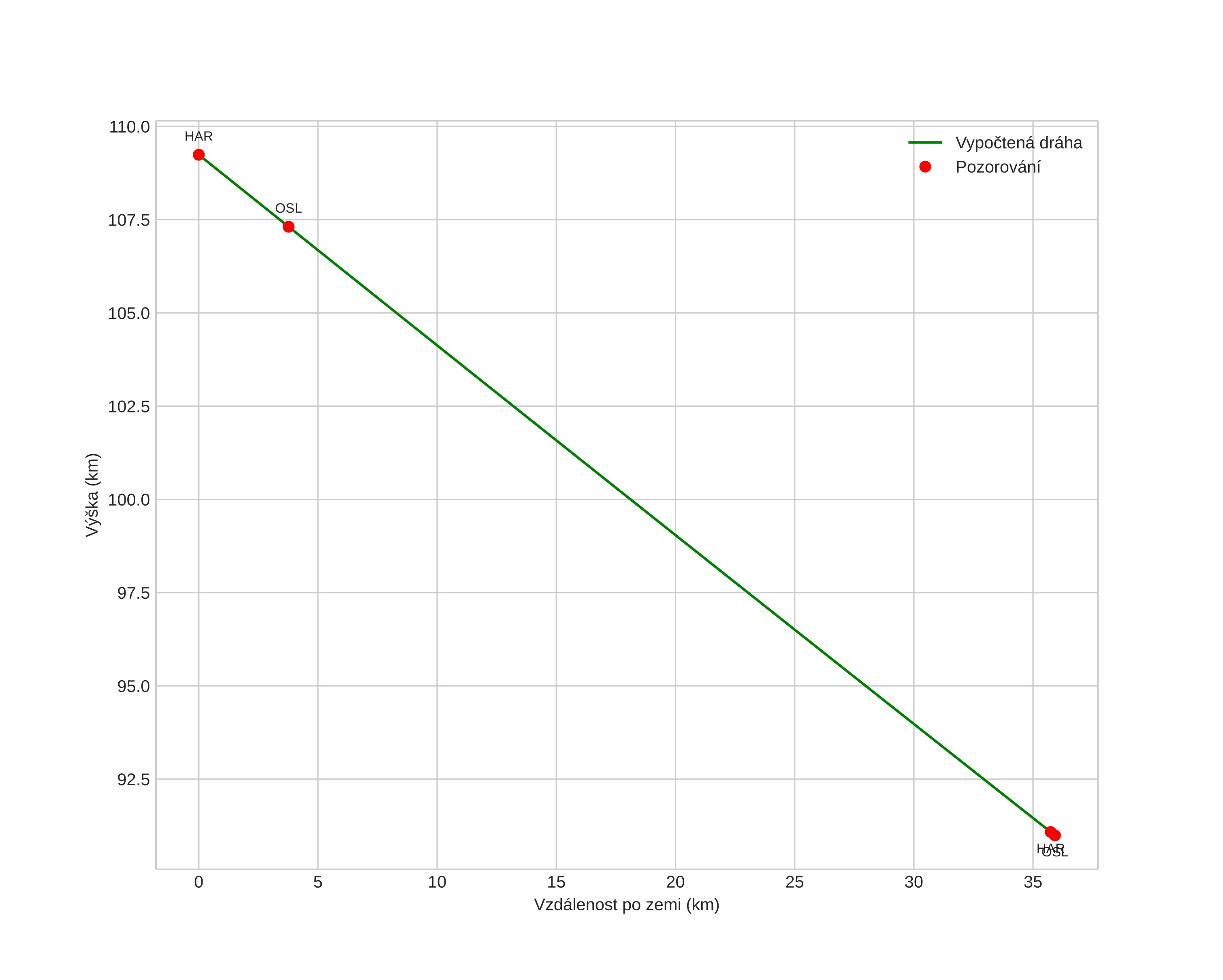
height profile
Atmosférická dráha meteoru:
Počáteční výška: 110,3 km
Konečná výška: 91,7 km
Počáteční poloha: 59,341N 8,999E
Konečná poloha: 59,274N 8,363E
Směr: 258,5°
Sklon: 26,8°
VstupnĂ­ rychlost: 60,4 km/s
Rektascenze radiantu: 13:33 (203,5°)
Deklinace radiantu: 28,3°
MeteorickĂ˝ roj: sporadickĂ˝
Elementy dráhy meteoroidu:
Vzdálenost v periheliu: 0,831 AU
Excentricita: 0,835
Sklon dráhy: 114,8°
Délka vzestupného uzlu: 297,8°
Argument perihelia: 228,7°
Střední anomálie: 357,3°
Epocha: 2025 JAN 17 23:27:41
orbit plot

NeinteraktivnĂ­ graf | InteraktivnĂ­ graf

position vs time
speed and acceleration