🇳🇴 🇬🇧 🇩🇪 🇨🇿 🇫🇮

Meteor Kongsvingerin yllä 2025-01-18 00:33:38 UTC

KML-tiedosto  |  Interaktiivinen kartta

Kartta näyttää meteorin suuntahavainnot. Vaaleammat viivat näyttävät suunnat havaintoasemilta meteorin ilmestyessä, ja tummemmat viivat näyttävät, missä se viimeksi nähtiin. Sininen nuoli näyttää meteorin näkyvän lennon.

static map
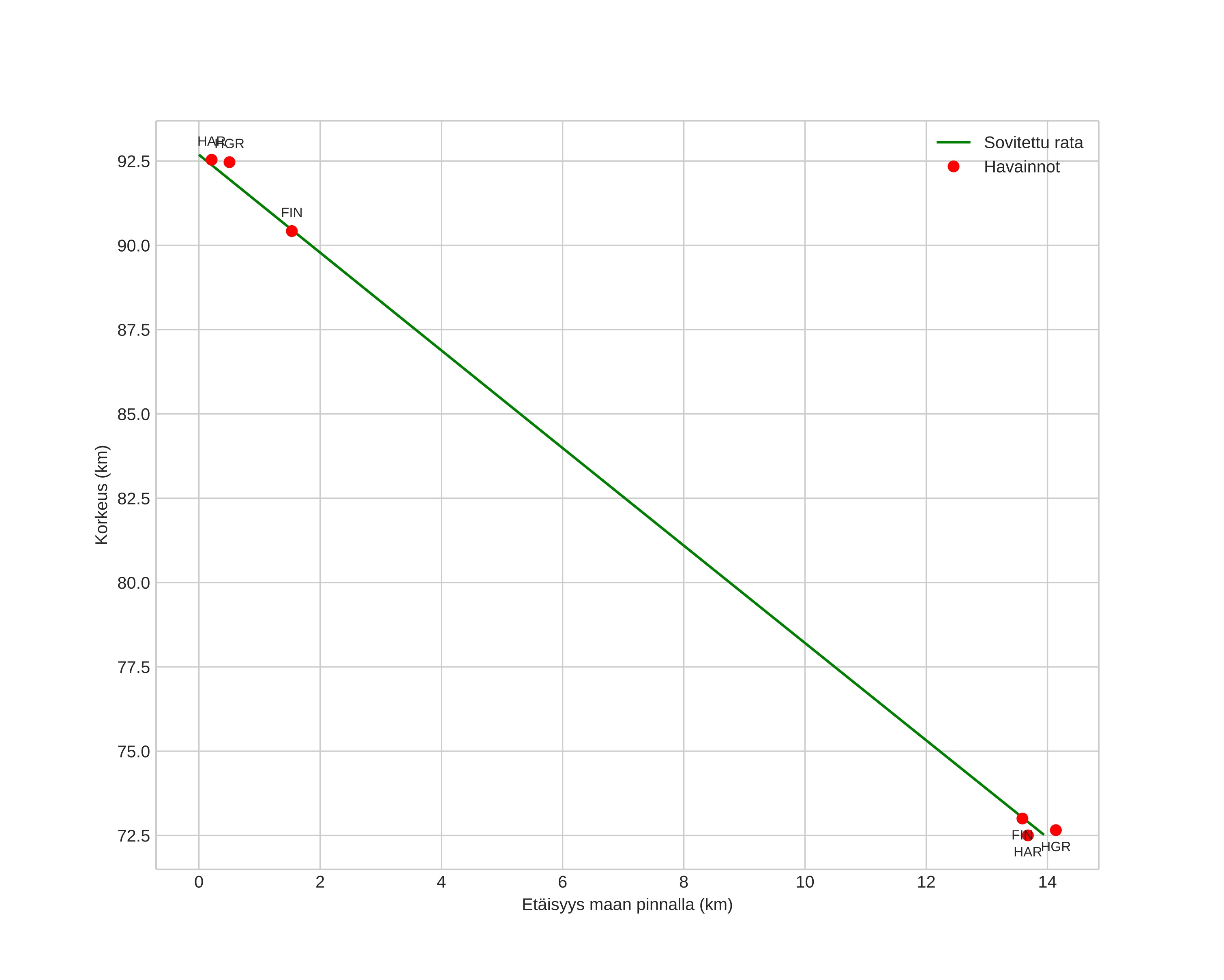
height profile
Meteorin ilmakehärata:
Alkukorkeus: 93,7 km
Loppukorkeus: 72,3 km
Alkupiste: 60,382N 12,203E
Loppupiste: 60,281N 12,032E
Suunta: 220,1°
Kallistuskulma: 55,7°
Tulonopeus: 31,9 km/s
Radiantin R,A,: 15:01 (225,3°)
Radiantin Dekl,: 68,5°
Meteoriparvi: Sporadinen
Meteoroidin rataelementit:
Perihelietäisyys: 0,945 AU
Eksentrisyys: 0,676
Inklinaatio: 48,4°
Nousevan solmun pituus: 297,8°
Perihelin argumentti: 205,6°
Keskianomalia: 356,3°
Epookki: 2025 JAN 18 00:33:38
orbit plot

Ei-interaktiivinen kuvaaja | Interaktiivinen kuvaaja

position vs time
speed and acceleration