🇳🇴 🇬🇧 🇩🇪 🇨🇿 🇫🇮

Meteor, poloha: Prestfoss 2025-01-18 01:01:23 UTC

Soubor KML  |  InteraktivnĂ­ mapa

Mapa zobrazuje dráhy meteoru. Světlejší čáry ukazují směry od pozorovacích stanic při objevení se meteoru a tmavší čáry, kde byl naposledy viděn. Modrá šipka značí viditelnou dráhu meteoru.

static map
height profile
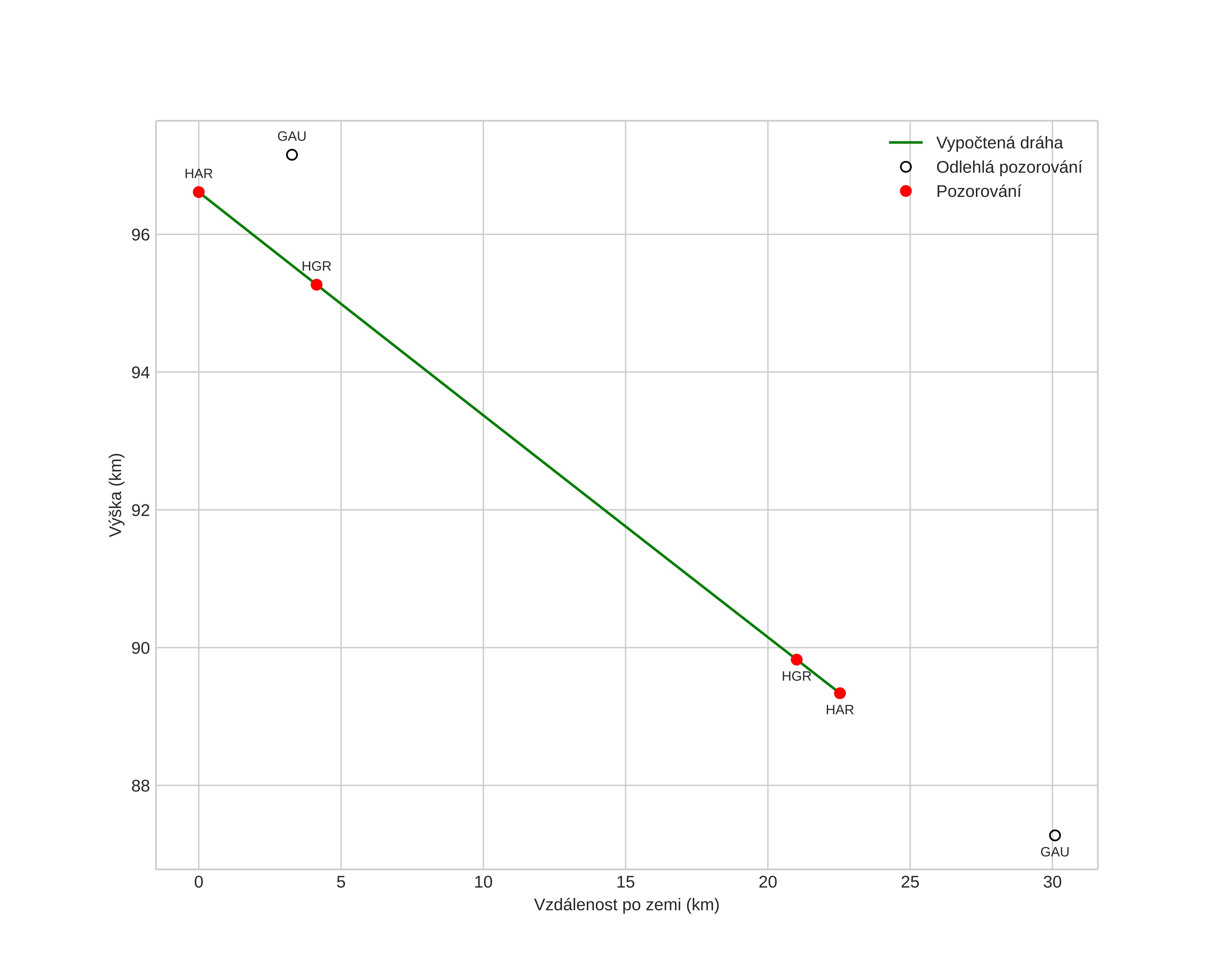
Atmosférická dráha meteoru:
Počáteční výška: 97,5 km
Konečná výška: 89,3 km
Počáteční poloha: 60,218N 10,178E
Konečná poloha: 60,101N 9,801E
Směr: 238,2°
Sklon: 18,5°
VstupnĂ­ rychlost: 47,8 km/s
Rektascenze radiantu: 16:50 (252,6°)
Deklinace radiantu: 30,7°
MeteorickĂ˝ roj: sporadickĂ˝
Elementy dráhy meteoroidu:
Vzdálenost v periheliu: 0,808 AU
Excentricita: 0,910
Sklon dráhy: 78,0°
Délka vzestupného uzlu: 297,8°
Argument perihelia: 128,7°
Střední anomálie: 1,1°
Epocha: 2025 JAN 18 01:01:23
orbit plot

NeinteraktivnĂ­ graf | InteraktivnĂ­ graf

position vs time
speed and acceleration

Harestua (HAR) cam7


gnomonic
Videa
• Gnomonická
• Gnomonická se souřadnicemi
• Původní
• Původní se souřadnicemi
Obrázky
• Gnomonická
• Gnomonická se souřadnicemi
• Gnomonická s popisky
• Původní
• Původní se souřadnicemi
Textové soubory
• Detekce
• Pozorování
• Souřadnice
• Protokol
Jasnost