🇳🇴 🇬🇧 🇩🇪 🇨🇿 🇫🇮

Meteor, poloha: Eidfjord 2025-01-18 01:34:13 UTC

Soubor KML  |  InteraktivnĂ­ mapa

Mapa zobrazuje dráhy meteoru. Světlejší čáry ukazují směry od pozorovacích stanic při objevení se meteoru a tmavší čáry, kde byl naposledy viděn. Modrá šipka značí viditelnou dráhu meteoru.

static map
height profile
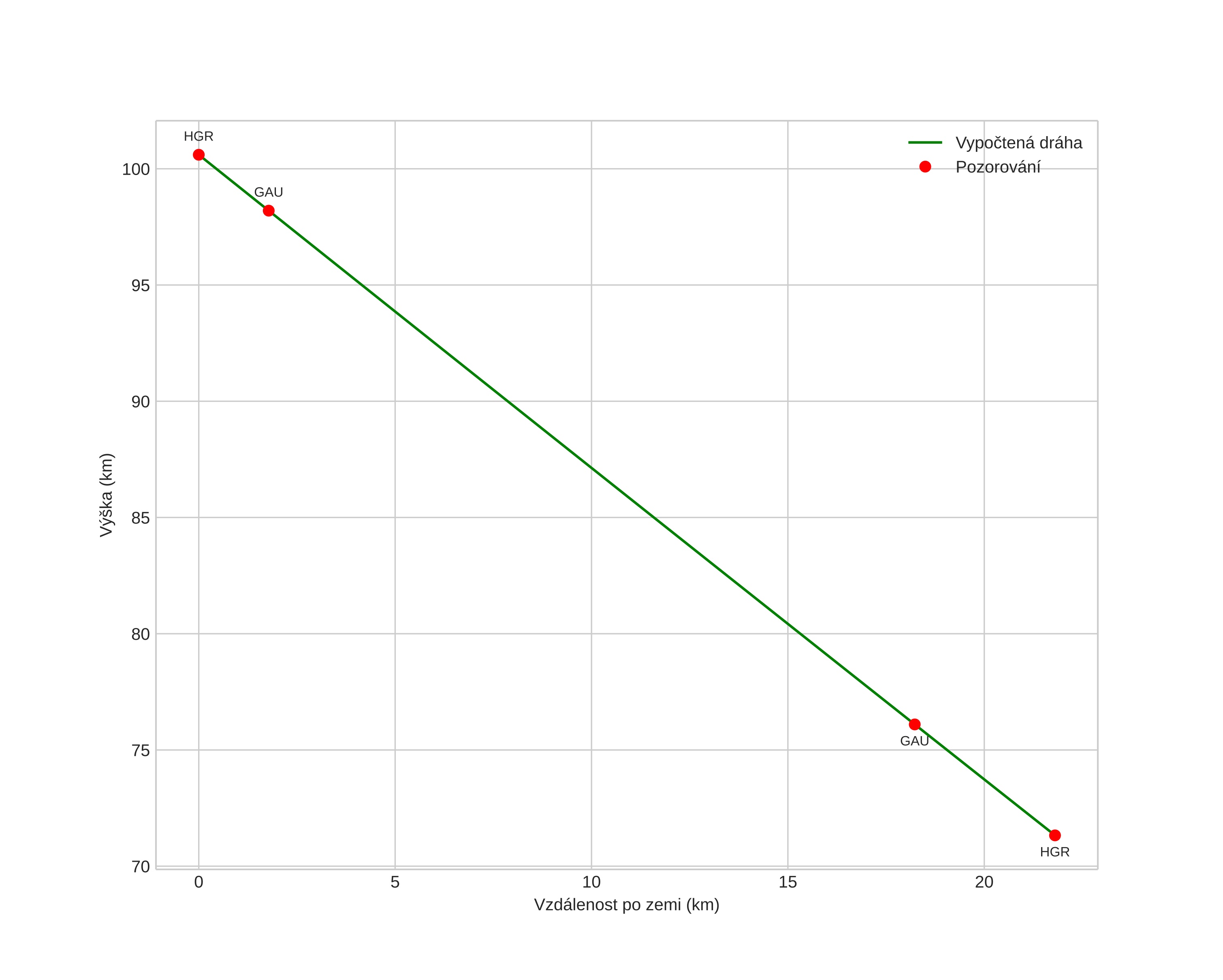
Atmosférická dráha meteoru:
Počáteční výška: 99,4 km
Konečná výška: 76,5 km
Počáteční poloha: 60,255N 7,487E
Konečná poloha: 60,155N 7,260E
Směr: 228,5°
Sklon: 53,7°
VstupnĂ­ rychlost: 34,6 km/s
Rektascenze radiantu: 15:30 (232,5°)
Deklinace radiantu: 63,3°
MeteorickĂ˝ roj: sporadickĂ˝
Elementy dráhy meteoroidu:
Vzdálenost v periheliu: 0,965 AU
Excentricita: 0,702
Sklon dráhy: 54,1°
Délka vzestupného uzlu: 297,9°
Argument perihelia: 197,3°
Střední anomálie: 357,8°
Epocha: 2025 JAN 18 01:34:13
orbit plot

NeinteraktivnĂ­ graf | InteraktivnĂ­ graf

position vs time
speed and acceleration