🇳🇴 🇬🇧 🇩🇪 🇨🇿 🇫🇮

Meteor, poloha: Mora 2025-01-18 05:38:15 UTC

Soubor KML  |  InteraktivnĂ­ mapa

Mapa zobrazuje dráhy meteoru. Světlejší čáry ukazují směry od pozorovacích stanic při objevení se meteoru a tmavší čáry, kde byl naposledy viděn. Modrá šipka značí viditelnou dráhu meteoru.

static map
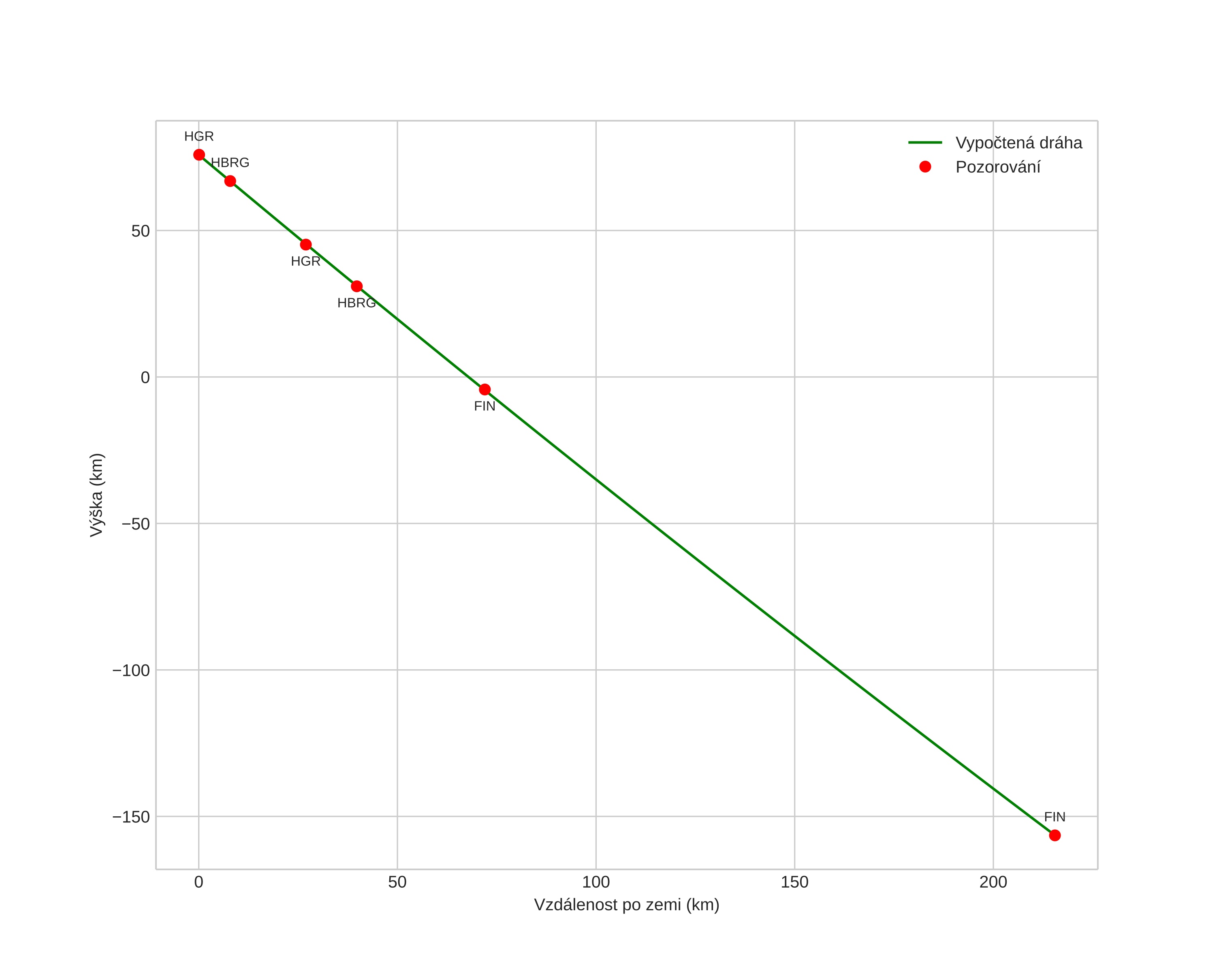
height profile
Atmosférická dráha meteoru:
Počáteční výška: 102,7 km
Konečná výška: 28,9 km
Počáteční poloha: 61,312N 15,628E
Konečná poloha: 60,972N 14,650E
Směr: 234,7°
Sklon: 48,8°
VstupnĂ­ rychlost: 19,2 km/s
Rektascenze radiantu: 20:41 (310,3°)
Deklinace radiantu: 54,7°
MeteorickĂ˝ roj: sporadickĂ˝
Elementy dráhy meteoroidu:
Vzdálenost v periheliu: 0,970 AU
Excentricita: 0,593
Sklon dráhy: 22,4°
Délka vzestupného uzlu: 298,0°
Argument perihelia: 163,9°
Střední anomálie: 3,3°
Epocha: 2025 JAN 18 05:38:15
orbit plot

NeinteraktivnĂ­ graf | InteraktivnĂ­ graf

position vs time
speed and acceleration