🇳🇴 🇬🇧 🇩🇪 🇨🇿 🇫🇮

Meteor, poloha: Sistranda 2025-01-18 23:22:07 UTC

Soubor KML  |  InteraktivnĂ­ mapa

Mapa zobrazuje dráhy meteoru. Světlejší čáry ukazují směry od pozorovacích stanic při objevení se meteoru a tmavší čáry, kde byl naposledy viděn. Modrá šipka značí viditelnou dráhu meteoru.

static map
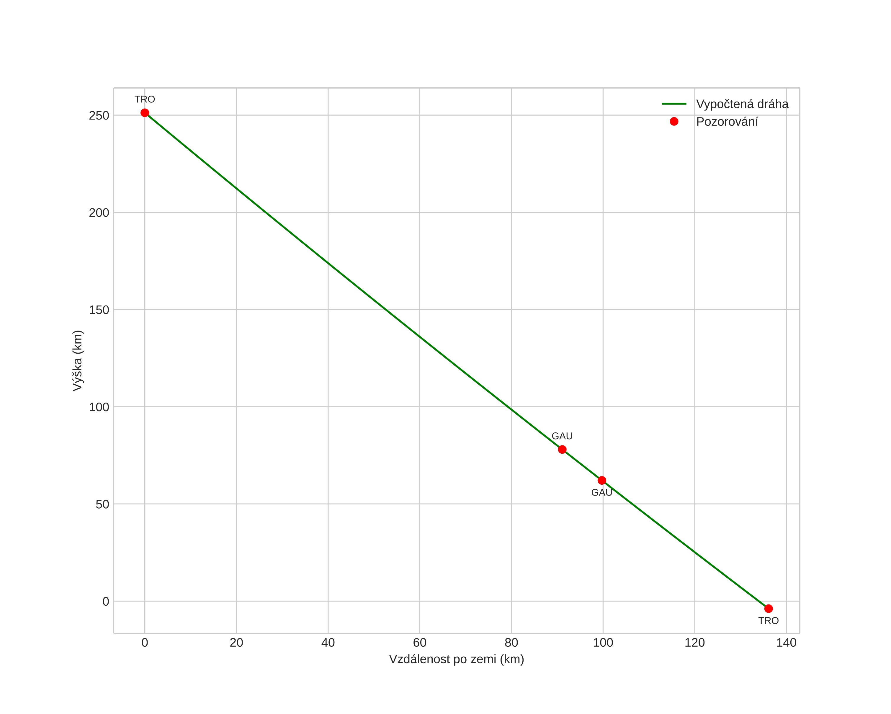
height profile
Atmosférická dráha meteoru:
Počáteční výška: 86,7 km
Konečná výška: 52,5 km
Počáteční poloha: 64,615N 8,533E
Konečná poloha: 64,757N 8,387E
Směr: 336,4°
Sklon: 63,2°
VstupnĂ­ rychlost: 29,6 km/s
Rektascenze radiantu: 08:41 (130,3°)
Deklinace radiantu: 38,1°
MeteorickĂ˝ roj: sporadickĂ˝
Elementy dráhy meteoroidu:
Vzdálenost v periheliu: 0,527 AU
Excentricita: 0,850
Sklon dráhy: 17,4°
Délka vzestupného uzlu: 298,8°
Argument perihelia: 270,6°
Střední anomálie: 353,8°
Epocha: 2025 JAN 18 23:22:07
orbit plot

NeinteraktivnĂ­ graf | InteraktivnĂ­ graf

position vs time
speed and acceleration