🇳🇴 🇬🇧 🇩🇪 🇨🇿 🇫🇮

Meteor, poloha: Farnes 2025-01-19 03:46:14 UTC

Soubor KML  |  InteraktivnĂ­ mapa

Mapa zobrazuje dráhy meteoru. Světlejší čáry ukazují směry od pozorovacích stanic při objevení se meteoru a tmavší čáry, kde byl naposledy viděn. Modrá šipka značí viditelnou dráhu meteoru.

static map
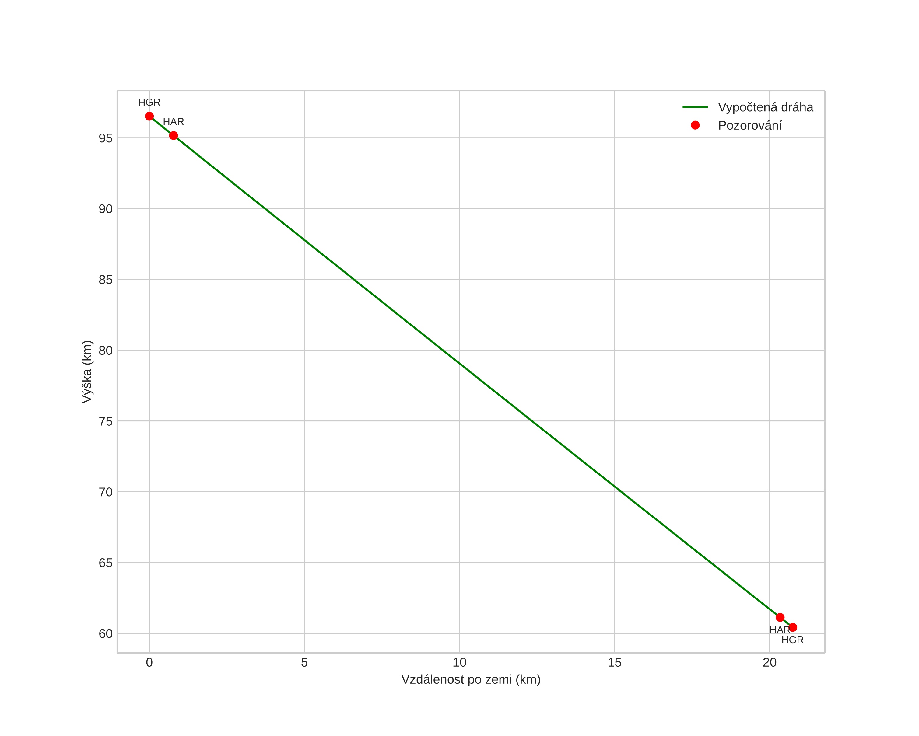
height profile
Atmosférická dráha meteoru:
Počáteční výška: 97,8 km
Konečná výška: 60,6 km
Počáteční poloha: 61,044N 7,743E
Konečná poloha: 61,227N 7,865E
Směr: 17,9°
Sklon: 60,2°
VstupnĂ­ rychlost: 43,8 km/s
Rektascenze radiantu: 11:27 (171,9°)
Deklinace radiantu: 31,5°
MeteorickĂ˝ roj: sporadickĂ˝
Elementy dráhy meteoroidu:
Vzdálenost v periheliu: 0,215 AU
Excentricita: 0,855
Sklon dráhy: 73,3°
Délka vzestupného uzlu: 299,0°
Argument perihelia: 314,1°
Střední anomálie: 338,2°
Epocha: 2025 JAN 19 03:46:14
orbit plot

NeinteraktivnĂ­ graf | InteraktivnĂ­ graf

position vs time
speed and acceleration