🇳🇴 🇬🇧 🇩🇪 🇨🇿 🇫🇮

Meteor, poloha: Sunne 2025-01-19 05:12:25 UTC

Soubor KML  |  InteraktivnĂ­ mapa

Mapa zobrazuje dráhy meteoru. Světlejší čáry ukazují směry od pozorovacích stanic při objevení se meteoru a tmavší čáry, kde byl naposledy viděn. Modrá šipka značí viditelnou dráhu meteoru.

static map
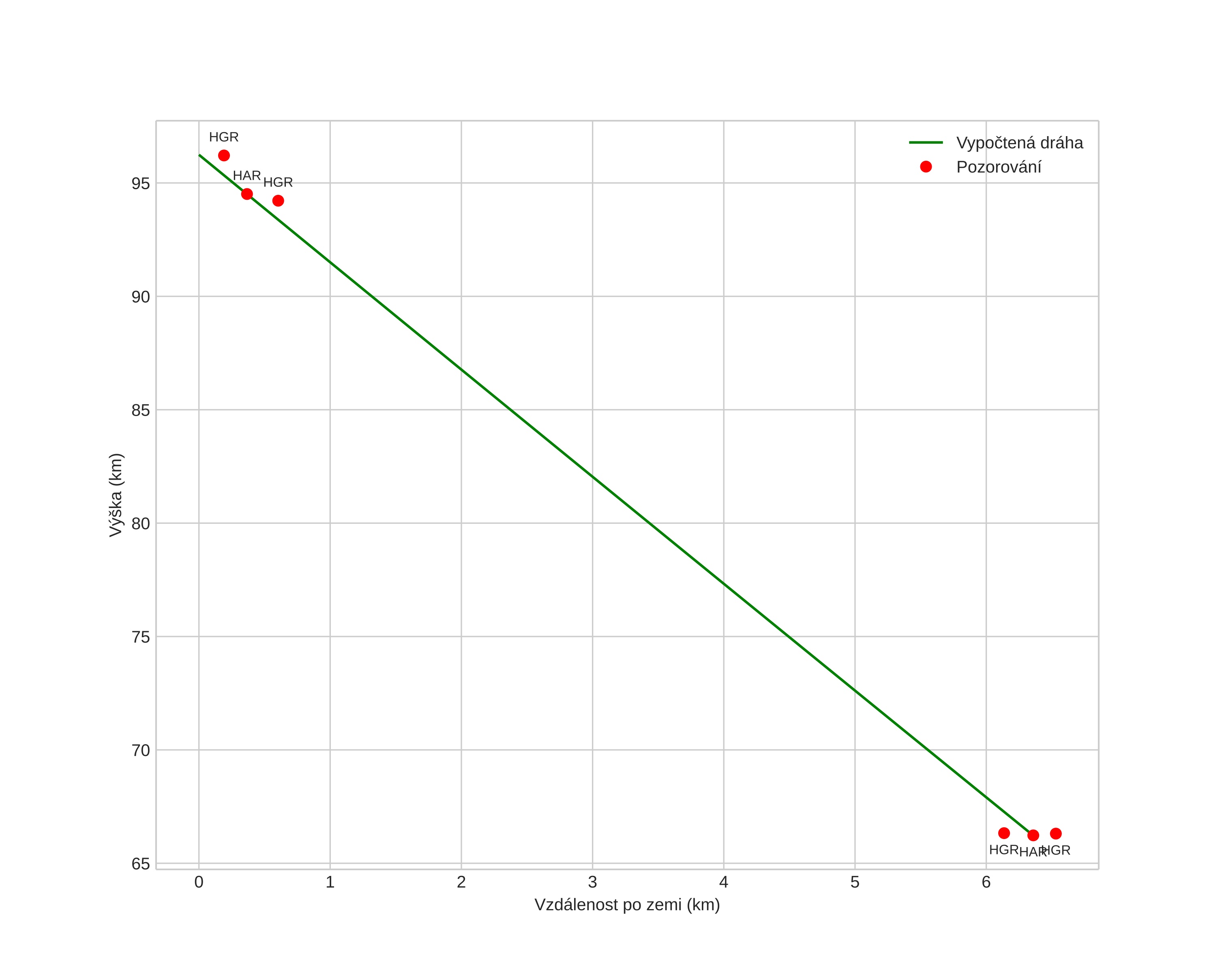
height profile
Atmosférická dráha meteoru:
Počáteční výška: 96,9 km
Konečná výška: 66,1 km
Počáteční poloha: 59,941N 13,286E
Konečná poloha: 59,928N 13,161E
Směr: 258,2°
Sklon: 77,1°
VstupnĂ­ rychlost: 35,6 km/s
Rektascenze radiantu: 15:43 (235,9°)
Deklinace radiantu: 60,1°
MeteorickĂ˝ roj: sporadickĂ˝
Elementy dráhy meteoroidu:
Vzdálenost v periheliu: 0,975 AU
Excentricita: 0,692
Sklon dráhy: 56,5°
Délka vzestupného uzlu: 299,0°
Argument perihelia: 192,3°
Střední anomálie: 358,4°
Epocha: 2025 JAN 19 05:12:25
orbit plot

NeinteraktivnĂ­ graf | InteraktivnĂ­ graf

position vs time
speed and acceleration