🇳🇴 🇬🇧 🇩🇪 🇨🇿 🇫🇮

Meteor, poloha: Hundorp 2025-01-19 18:10:46 UTC

Soubor KML  |  InteraktivnĂ­ mapa

Mapa zobrazuje dráhy meteoru. Světlejší čáry ukazují směry od pozorovacích stanic při objevení se meteoru a tmavší čáry, kde byl naposledy viděn. Modrá šipka značí viditelnou dráhu meteoru.

static map
height profile
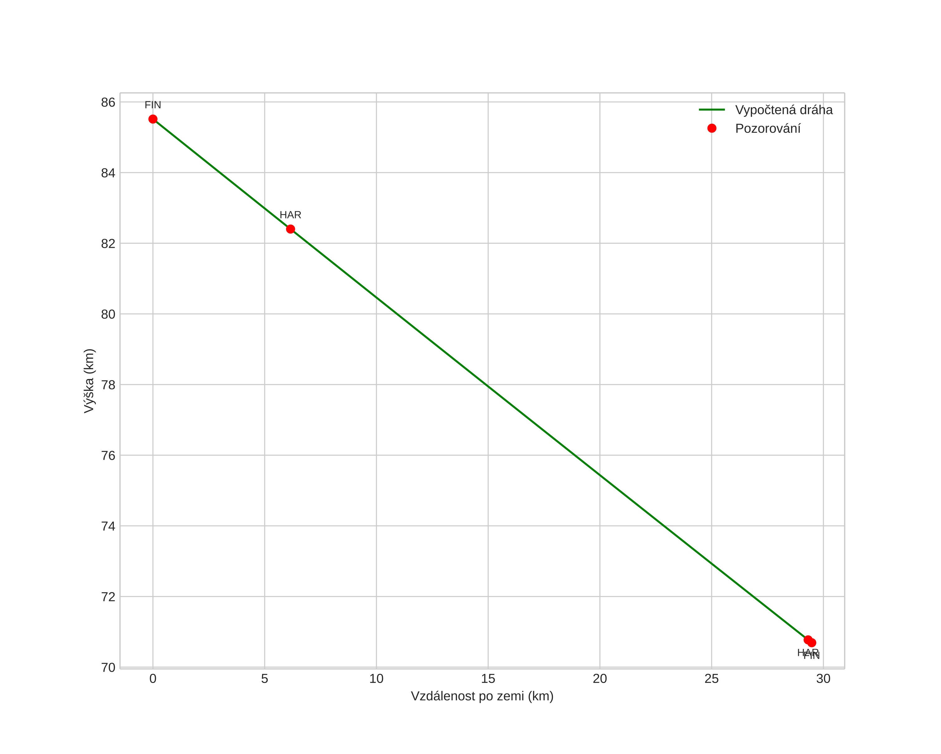
Atmosférická dráha meteoru:
Počáteční výška: 85,4 km
Konečná výška: 70,3 km
Počáteční poloha: 61,821N 10,539E
Konečná poloha: 61,835N 9,976E
Směr: 273,2°
Sklon: 27,0°
VstupnĂ­ rychlost: 23,4 km/s
Rektascenze radiantu: 07:52 (118,2°)
Deklinace radiantu: 18,5°
MeteorickĂ˝ roj: sporadickĂ˝
Elementy dráhy meteoroidu:
Vzdálenost v periheliu: 0,627 AU
Excentricita: 0,708
Sklon dráhy: 1,6°
Délka vzestupného uzlu: 119,7°
Argument perihelia: 82,8°
Střední anomálie: 346,0°
Epocha: 2025 JAN 19 18:10:46
orbit plot

NeinteraktivnĂ­ graf | InteraktivnĂ­ graf

position vs time
speed and acceleration