🇳🇴 🇬🇧 🇩🇪 🇨🇿 🇫🇮

Meteor, poloha: Elverum 2025-01-22 16:44:10 UTC

Soubor KML

Mapa zobrazuje dráhy meteoru. Světlejší čáry ukazují směry od pozorovacích stanic při objevení se meteoru a tmavší čáry, kde byl naposledy viděn. Modrá šipka značí viditelnou dráhu meteoru.

static map
height profile
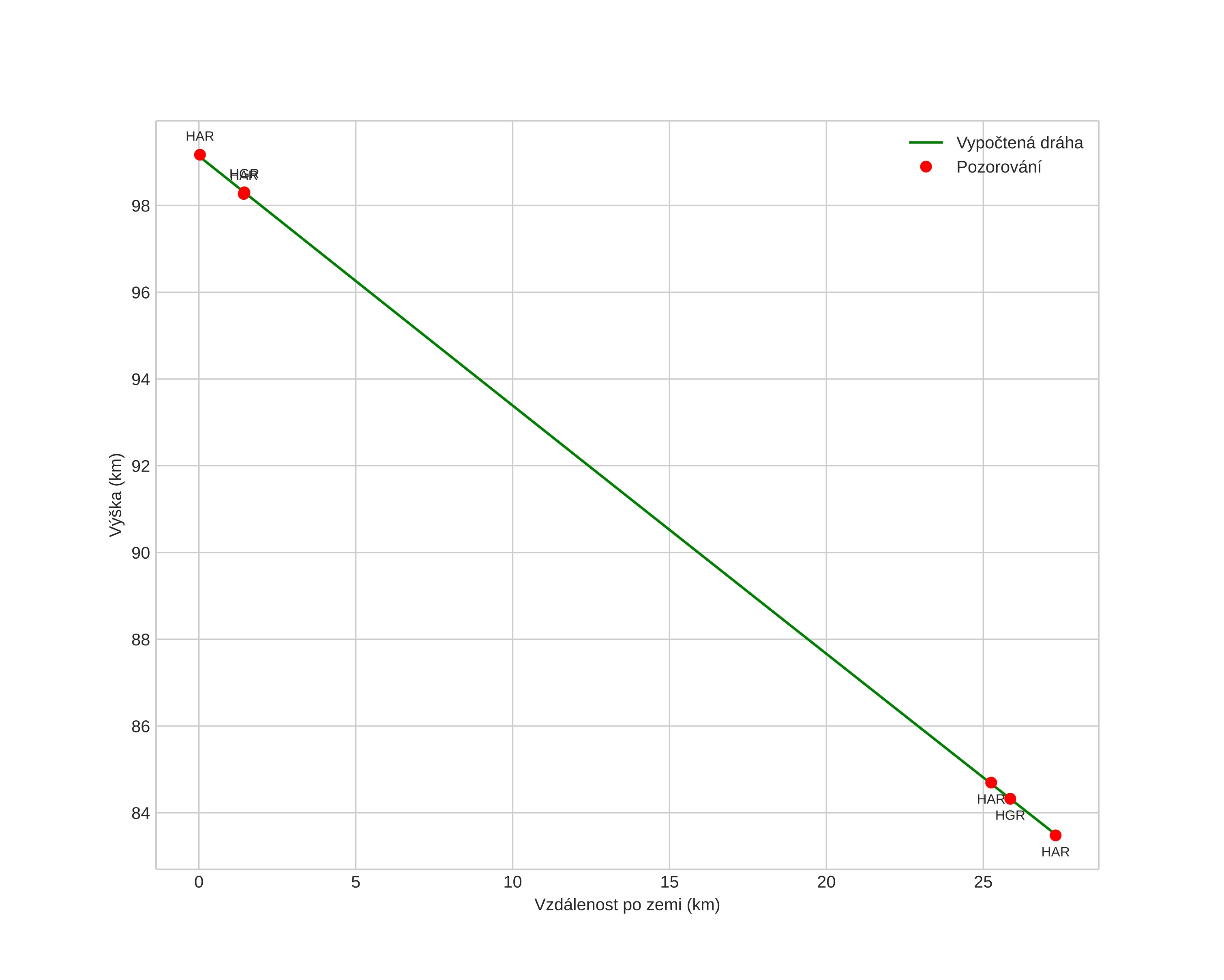
Atmosférická dráha meteoru:
Počáteční výška: 99,1 km
Konečná výška: 83,5 km
Počáteční poloha: 61,052N 11,140E
Konečná poloha: 60,860N 11,455E
Směr: 141,4°
Sklon: 29,7°
VstupnĂ­ rychlost: 34,7 km/s
Rektascenze radiantu: 17:20 (260,2°)
Deklinace radiantu: 47,9°
MeteorickĂ˝ roj: sporadickĂ˝
Elementy dráhy meteoroidu:
Vzdálenost v periheliu: 0,945 AU
Excentricita: 0,655
Sklon dráhy: 55,3°
Délka vzestupného uzlu: 302,6°
Argument perihelia: 154,2°
Střední anomálie: 4,2°
Epocha: 2025 JAN 22 16:44:10
orbit plot

NeinteraktivnĂ­ graf

position vs time
speed and acceleration