🇳🇴 🇬🇧 🇩🇪 🇨🇿 🇫🇮

Meteor, poloha: Vestnes 2025-01-22 22:02:44 UTC

Soubor KML  |  InteraktivnĂ­ mapa

Mapa zobrazuje dráhy meteoru. Světlejší čáry ukazují směry od pozorovacích stanic při objevení se meteoru a tmavší čáry, kde byl naposledy viděn. Modrá šipka značí viditelnou dráhu meteoru.

static map
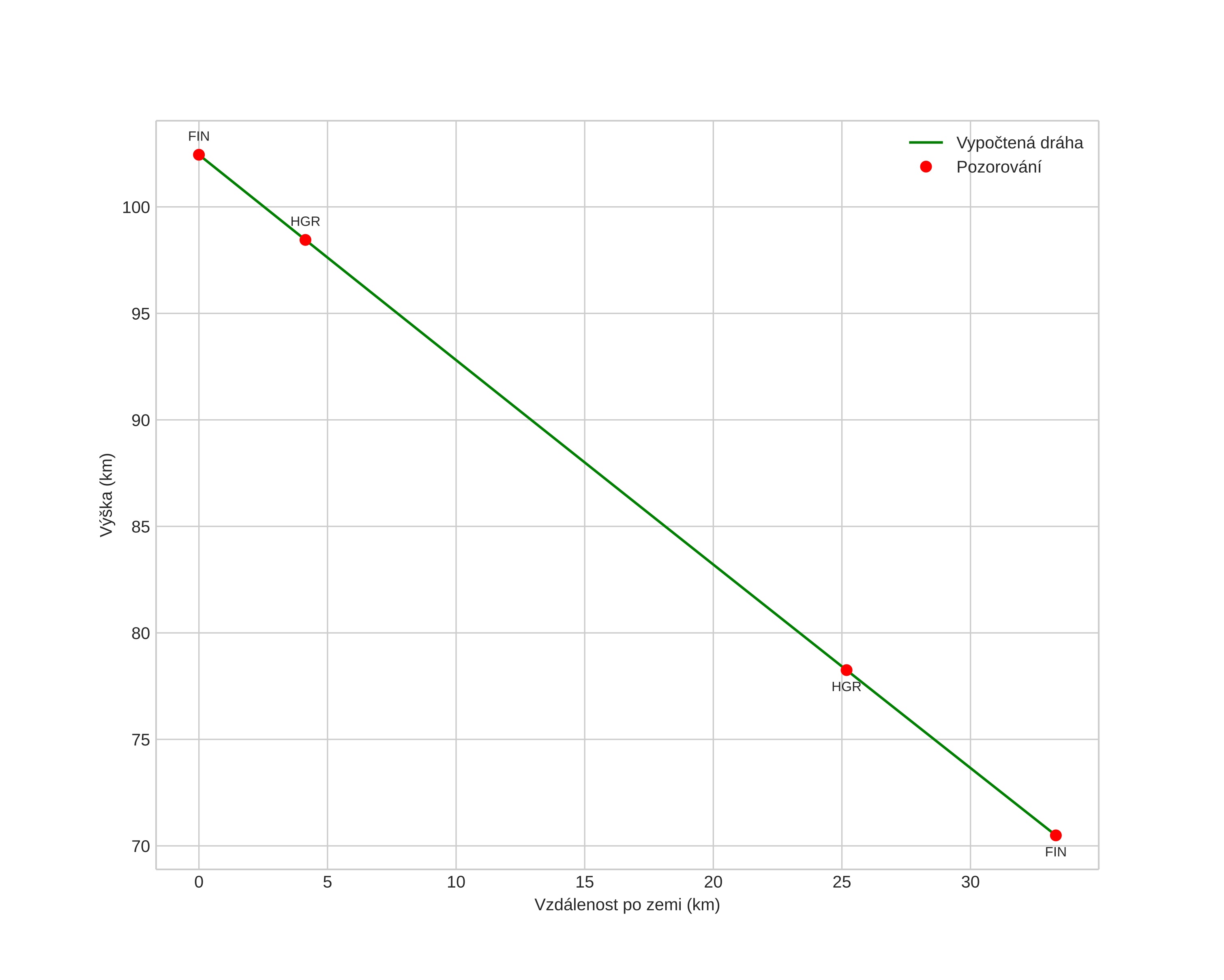
height profile
Atmosférická dráha meteoru:
Počáteční výška: 103,1 km
Konečná výška: 70,7 km
Počáteční poloha: 62,709N 7,661E
Konečná poloha: 62,517N 7,143E
Směr: 231,4°
Sklon: 43,6°
VstupnĂ­ rychlost: 44,0 km/s
Rektascenze radiantu: 13:19 (199,9°)
Deklinace radiantu: 54,8°
MeteorickĂ˝ roj: sporadickĂ˝
Elementy dráhy meteoroidu:
Vzdálenost v periheliu: 0,807 AU
Excentricita: 0,943
Sklon dráhy: 67,9°
Délka vzestupného uzlu: 302,8°
Argument perihelia: 231,0°
Střední anomálie: 359,4°
Epocha: 2025 JAN 22 22:02:44
orbit plot

NeinteraktivnĂ­ graf | InteraktivnĂ­ graf

position vs time
speed and acceleration