🇳🇴 🇬🇧 🇩🇪 🇨🇿 🇫🇮

Meteor, poloha: Kiruna 2025-01-24 02:51:52 UTC

Soubor KML  |  InteraktivnĂ­ mapa

Mapa zobrazuje dráhy meteoru. Světlejší čáry ukazují směry od pozorovacích stanic při objevení se meteoru a tmavší čáry, kde byl naposledy viděn. Modrá šipka značí viditelnou dráhu meteoru.

static map
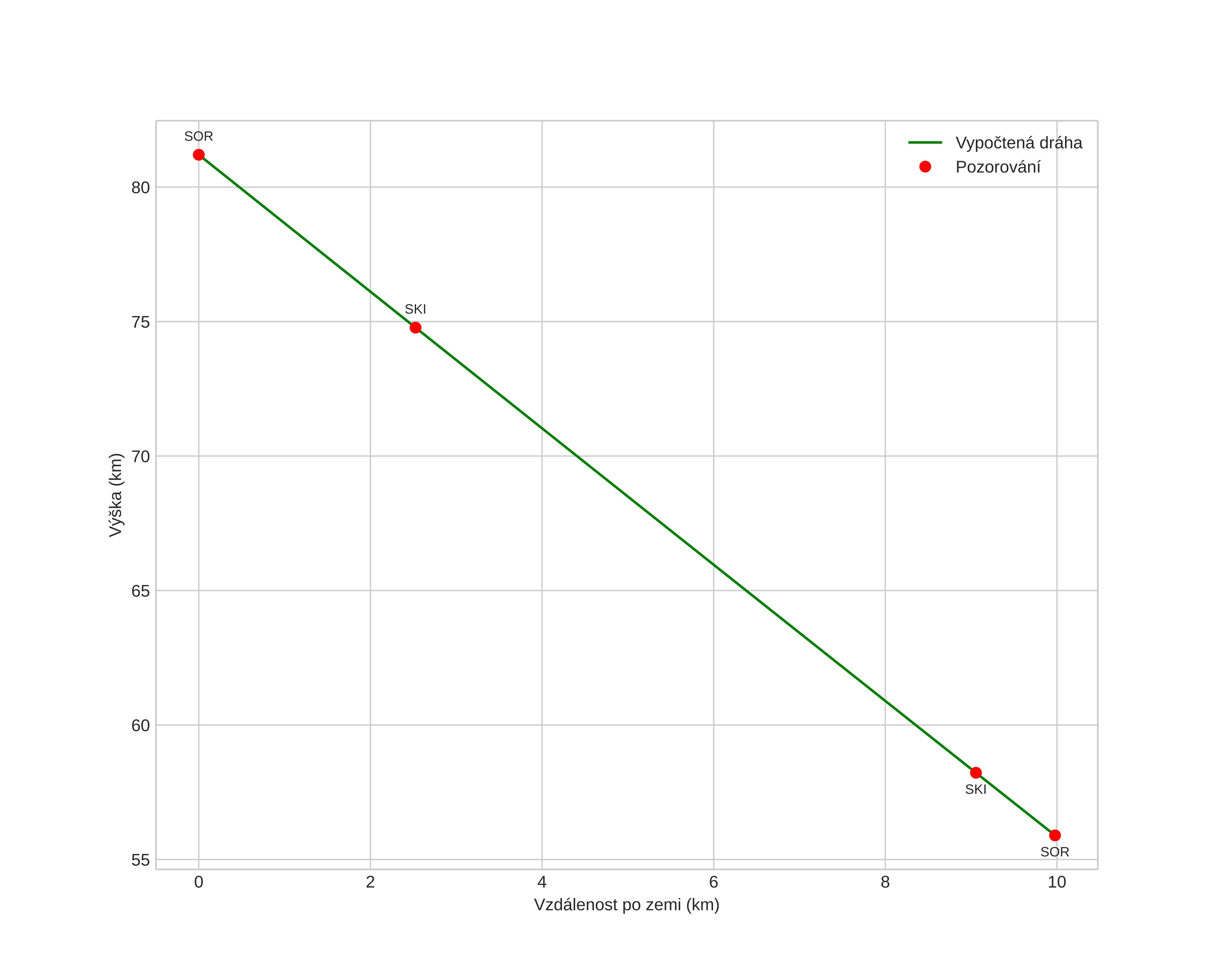
height profile
Atmosférická dráha meteoru:
Počáteční výška: 82,7 km
Konečná výška: 56,9 km
Počáteční poloha: 67,856N 19,619E
Konečná poloha: 67,797N 19,854E
Směr: 123,6°
Sklon: 65,3°
VstupnĂ­ rychlost: 18,7 km/s
Rektascenze radiantu: 07:19 (109,9°)
Deklinace radiantu: 66,1°
MeteorickĂ˝ roj: sporadickĂ˝
Elementy dráhy meteoroidu:
Vzdálenost v periheliu: 0,891 AU
Excentricita: 0,595
Sklon dráhy: 16,7°
Délka vzestupného uzlu: 304,0°
Argument perihelia: 221,7°
Střední anomálie: 350,9°
Epocha: 2025 JAN 24 02:51:52
orbit plot

NeinteraktivnĂ­ graf | InteraktivnĂ­ graf

position vs time
speed and acceleration