🇳🇴 🇬🇧 🇩🇪 🇨🇿 🇫🇮

Meteor, poloha: Vang 2025-01-26 00:17:11 UTC

Soubor KML  |  InteraktivnĂ­ mapa

Mapa zobrazuje dráhy meteoru. Světlejší čáry ukazují směry od pozorovacích stanic při objevení se meteoru a tmavší čáry, kde byl naposledy viděn. Modrá šipka značí viditelnou dráhu meteoru.

static map
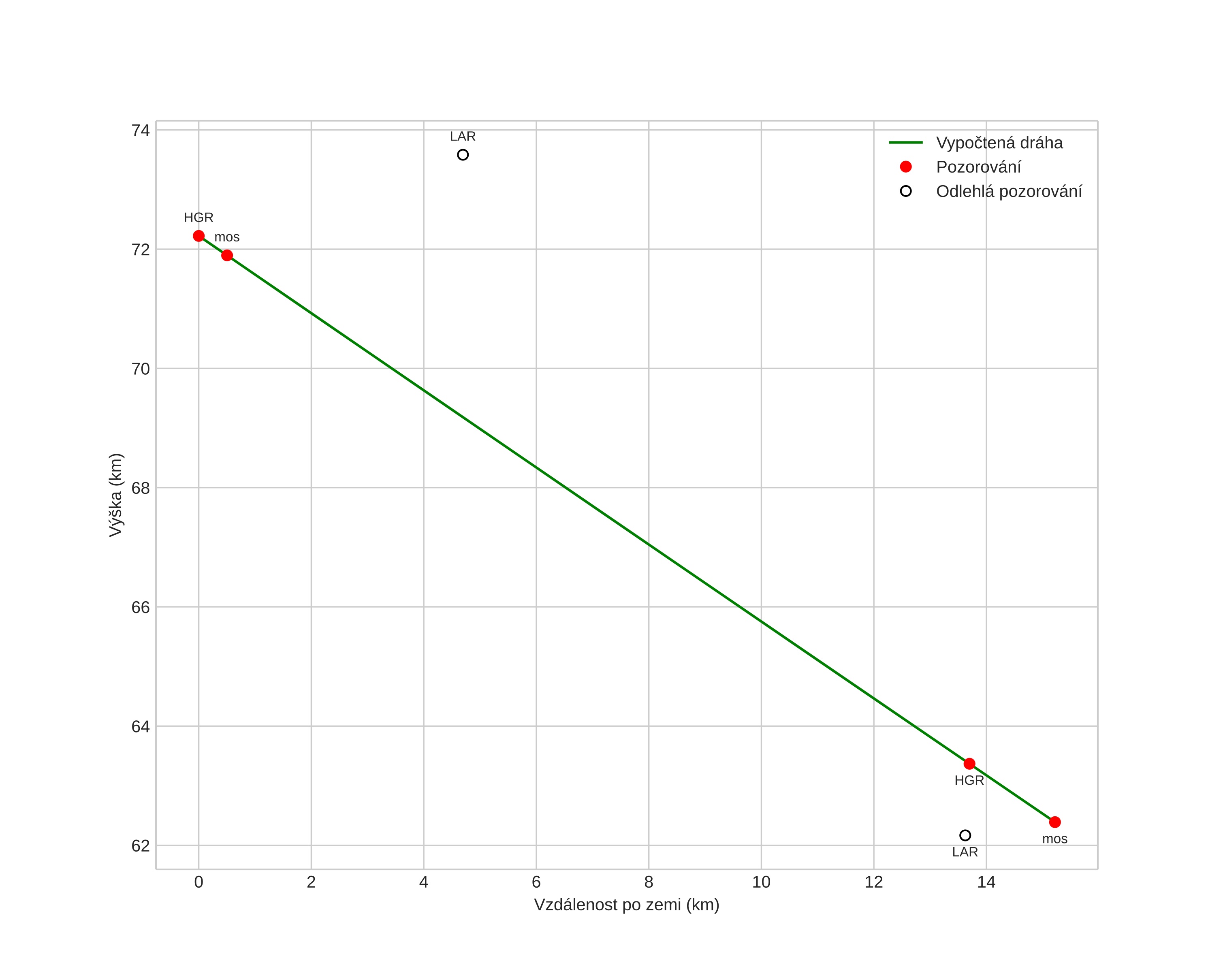
height profile
Atmosférická dráha meteoru:
Počáteční výška: 76,4 km
Konečná výška: 64,1 km
Počáteční poloha: 61,272N 8,230E
Konečná poloha: 61,441N 8,285E
Směr: 8,9°
Sklon: 32,9°
VstupnĂ­ rychlost: 21,1 km/s
Rektascenze radiantu: 08:36 (129,2°)
Deklinace radiantu: -0,5°
MeteorickĂ˝ roj: sporadickĂ˝
Elementy dráhy meteoroidu:
Vzdálenost v periheliu: 0,599 AU
Excentricita: 0,544
Sklon dráhy: 11,2°
Délka vzestupného uzlu: 126,0°
Argument perihelia: 96,5°
Střední anomálie: 325,0°
Epocha: 2025 JAN 26 00:17:11
orbit plot

NeinteraktivnĂ­ graf | InteraktivnĂ­ graf

position vs time
speed and acceleration