🇳🇴 🇬🇧 🇩🇪 🇨🇿 🇫🇮

Meteor, poloha: Arendal 2025-01-31 00:23:22 UTC

Soubor KML  |  InteraktivnĂ­ mapa

Mapa zobrazuje dráhy meteoru. Světlejší čáry ukazují směry od pozorovacích stanic při objevení se meteoru a tmavší čáry, kde byl naposledy viděn. Modrá šipka značí viditelnou dráhu meteoru.

static map
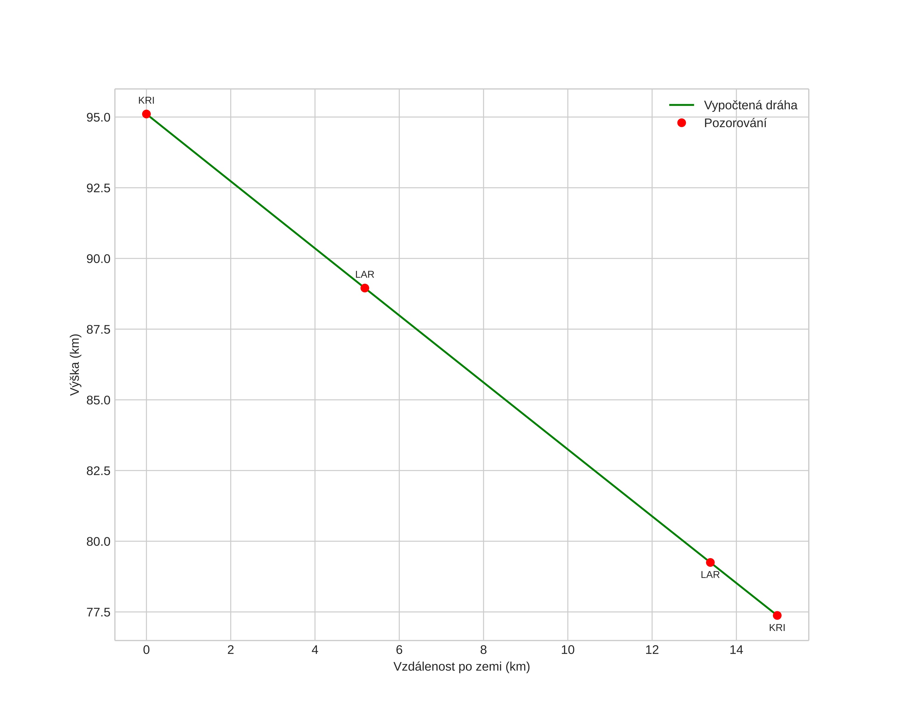
height profile
Atmosférická dráha meteoru:
Počáteční výška: 93,8 km
Konečná výška: 76,6 km
Počáteční poloha: 58,386N 9,155E
Konečná poloha: 58,269N 9,047E
Směr: 206,0°
Sklon: 50,0°
VstupnĂ­ rychlost: 26,2 km/s
Rektascenze radiantu: 17:14 (258,7°)
Deklinace radiantu: 72,0°
MeteorickĂ˝ roj: sporadickĂ˝
Elementy dráhy meteoroidu:
Vzdálenost v periheliu: 0,980 AU
Excentricita: 0,671
Sklon dráhy: 37,5°
Délka vzestupného uzlu: 311,0°
Argument perihelia: 189,2°
Střední anomálie: 358,7°
Epocha: 2025 JAN 31 00:23:22
orbit plot

NeinteraktivnĂ­ graf | InteraktivnĂ­ graf

position vs time
speed and acceleration