🇳🇴 🇬🇧 🇩🇪 🇨🇿 🇫🇮

Meteor über Elverum 2025-01-31 22:13:21 UTC

KML-Datei  |  Interaktive Karte

Die Karte zeigt die Peilungen für den Meteor. Die helleren Linien zeigen die Richtungen von den Beobachtungsorten beim Erscheinen des Meteors, und die dunkleren Linien, wo er zuletzt gesehen wurde. Der blaue Pfeil zeigt die sichtbare Bahn des Meteors.

static map
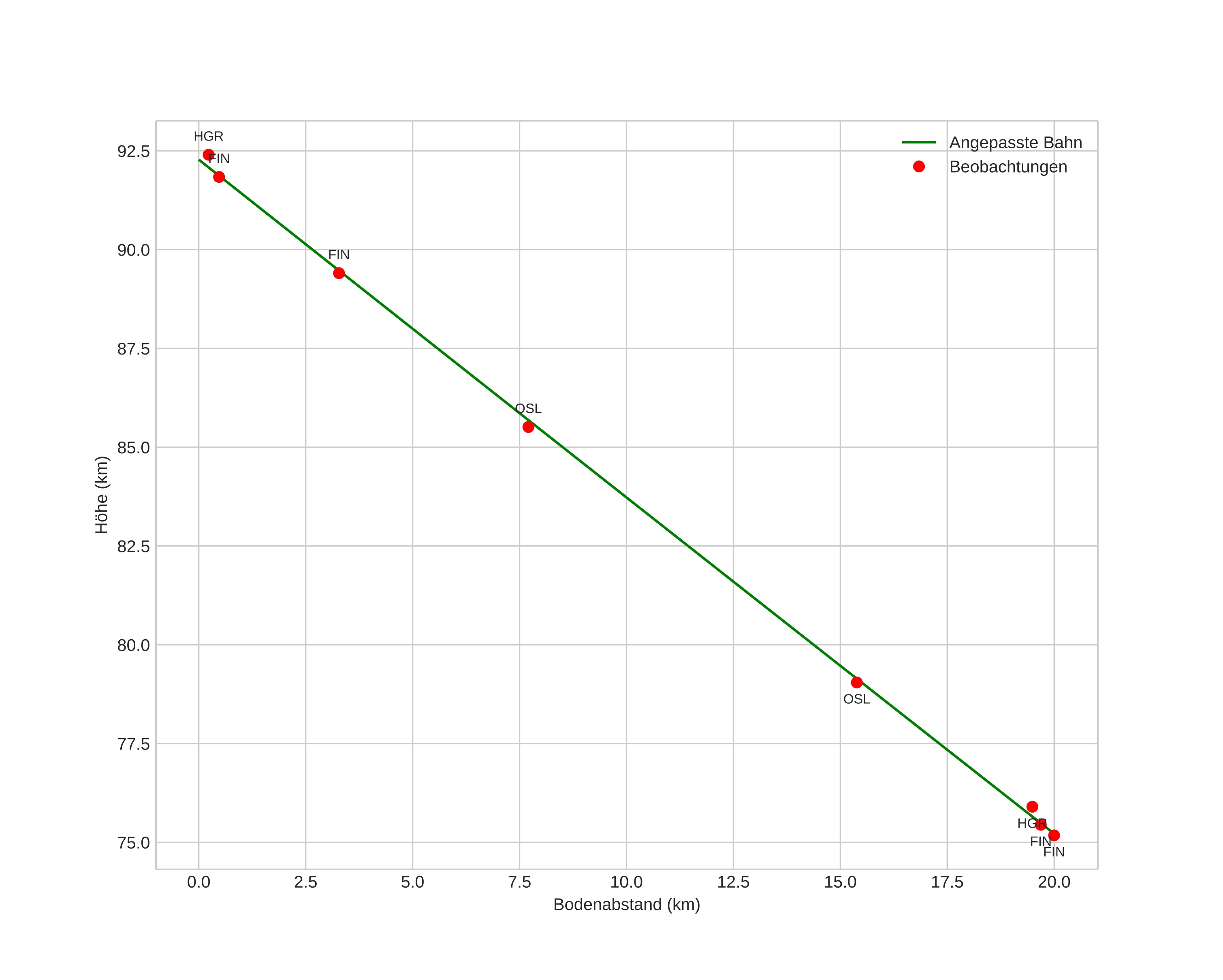
height profile
Atmosphärische Bahn des Meteors:
Anfangshöhe: 92,3 km
Endhöhe: 75,2 km
Startposition: 60,548N 11,538E
Endposition: 60,729N 11,563E
Richtung: 3,9°
Neigungswinkel: 40,4°
Eintrittsgeschwindigkeit: 19,6 km/s
Rektaszension des Radianten: 07:27 (111,9°)
Deklination des Radianten: 5,9°
Meteorstrom: sporadisch
Bahnelemente des Meteoroiden:
Periheldistanz: 0,815 AU
Exzentrizität: 0,706
Inklination: 7,1°
Länge des aufsteigenden Knotens: 132,0°
Argument des Perihels: 54,3°
Mittlere Anomalie: 352,4°
Epoche: 2025 JAN 31 22:13:21
orbit plot

Nicht-interaktives Diagramm | Interaktives Diagramm

position vs time
speed and acceleration