🇳🇴 🇬🇧 🇩🇪 🇨🇿 🇫🇮

Meteor, poloha: Fagernes 2025-02-01 00:27:56 UTC

Soubor KML  |  InteraktivnĂ­ mapa

Mapa zobrazuje dráhy meteoru. Světlejší čáry ukazují směry od pozorovacích stanic při objevení se meteoru a tmavší čáry, kde byl naposledy viděn. Modrá šipka značí viditelnou dráhu meteoru.

static map
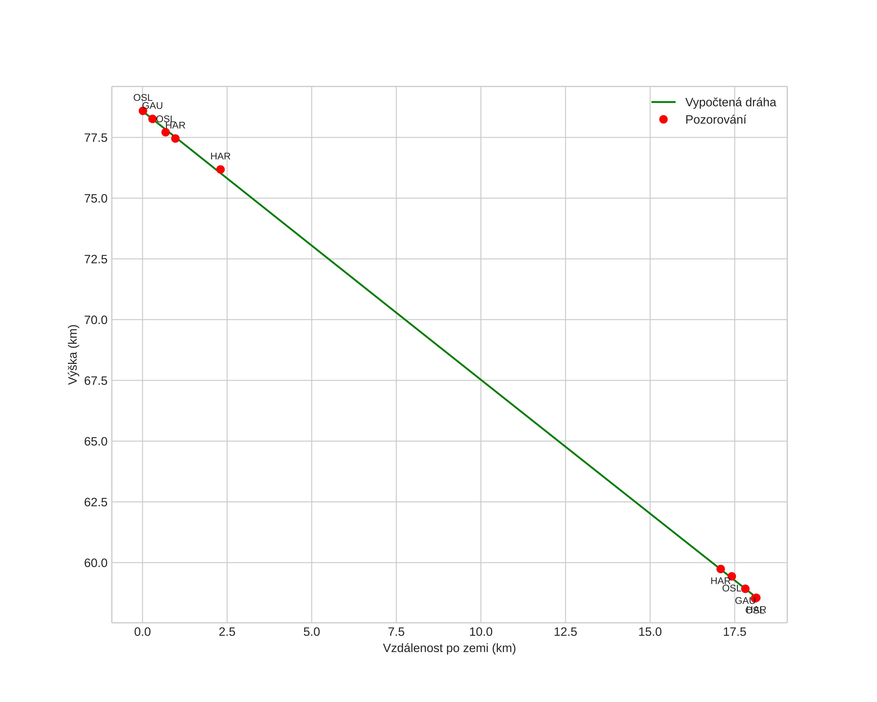
height profile
Atmosférická dráha meteoru:
Počáteční výška: 81,5 km
Konečná výška: 58,5 km
Počáteční poloha: 60,955N 8,927E
Konečná poloha: 61,098N 9,185E
Směr: 41,2°
Sklon: 47,5°
VstupnĂ­ rychlost: 20,0 km/s
Rektascenze radiantu: 07:43 (115,8°)
Deklinace radiantu: 19,4°
MeteorickĂ˝ roj: sporadickĂ˝
Elementy dráhy meteoroidu:
Vzdálenost v periheliu: 0,792 AU
Excentricita: 0,726
Sklon dráhy: 0,9°
Délka vzestupného uzlu: 132,2°
Argument perihelia: 57,7°
Střední anomálie: 352,6°
Epocha: 2025 FEB 01 00:27:56
orbit plot

NeinteraktivnĂ­ graf | InteraktivnĂ­ graf

position vs time
speed and acceleration