🇳🇴 🇬🇧 🇩🇪 🇨🇿 🇫🇮

Meteor, poloha: Aurlandsvangen 2025-02-01 01:32:35 UTC

Soubor KML  |  InteraktivnĂ­ mapa

Mapa zobrazuje dráhy meteoru. Světlejší čáry ukazují směry od pozorovacích stanic při objevení se meteoru a tmavší čáry, kde byl naposledy viděn. Modrá šipka značí viditelnou dráhu meteoru.

static map
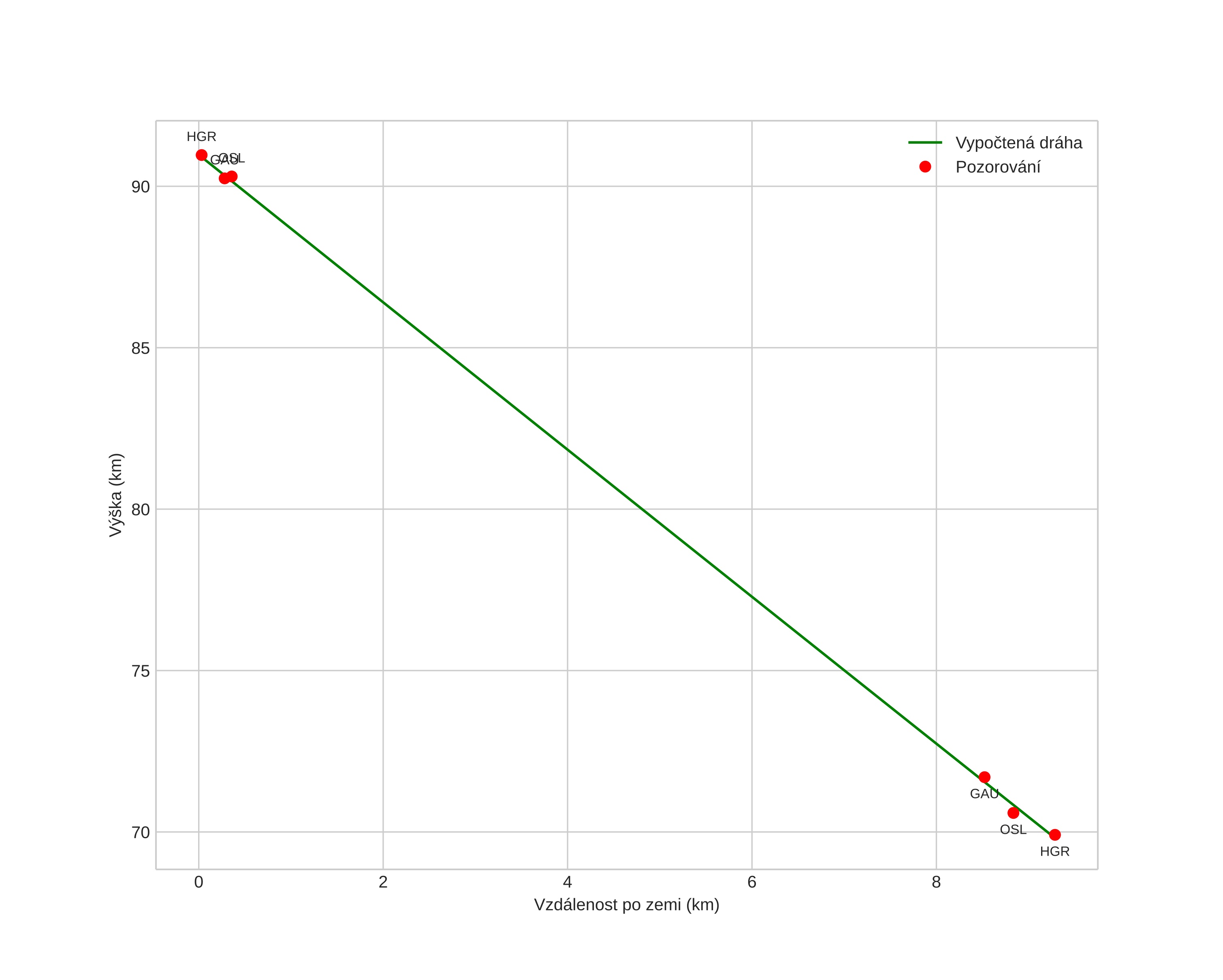
height profile
Atmosférická dráha meteoru:
Počáteční výška: 91,0 km
Konečná výška: 70,1 km
Počáteční poloha: 60,757N 7,316E
Konečná poloha: 60,698N 7,190E
Směr: 226,0°
Sklon: 65,5°
VstupnĂ­ rychlost: 30,5 km/s
Rektascenze radiantu: 14:41 (220,4°)
Deklinace radiantu: 69,4°
MeteorickĂ˝ roj: sporadickĂ˝
Elementy dráhy meteoroidu:
Vzdálenost v periheliu: 0,935 AU
Excentricita: 0,746
Sklon dráhy: 44,2°
Délka vzestupného uzlu: 312,1°
Argument perihelia: 208,4°
Střední anomálie: 357,1°
Epocha: 2025 FEB 01 01:32:35
orbit plot

NeinteraktivnĂ­ graf | InteraktivnĂ­ graf

position vs time
speed and acceleration