🇳🇴 🇬🇧 🇩🇪 🇨🇿 🇫🇮

Meteor, poloha: Hvittingfoss 2025-02-01 04:51:36 UTC

Soubor KML  |  InteraktivnĂ­ mapa

Mapa zobrazuje dráhy meteoru. Světlejší čáry ukazují směry od pozorovacích stanic při objevení se meteoru a tmavší čáry, kde byl naposledy viděn. Modrá šipka značí viditelnou dráhu meteoru.

static map
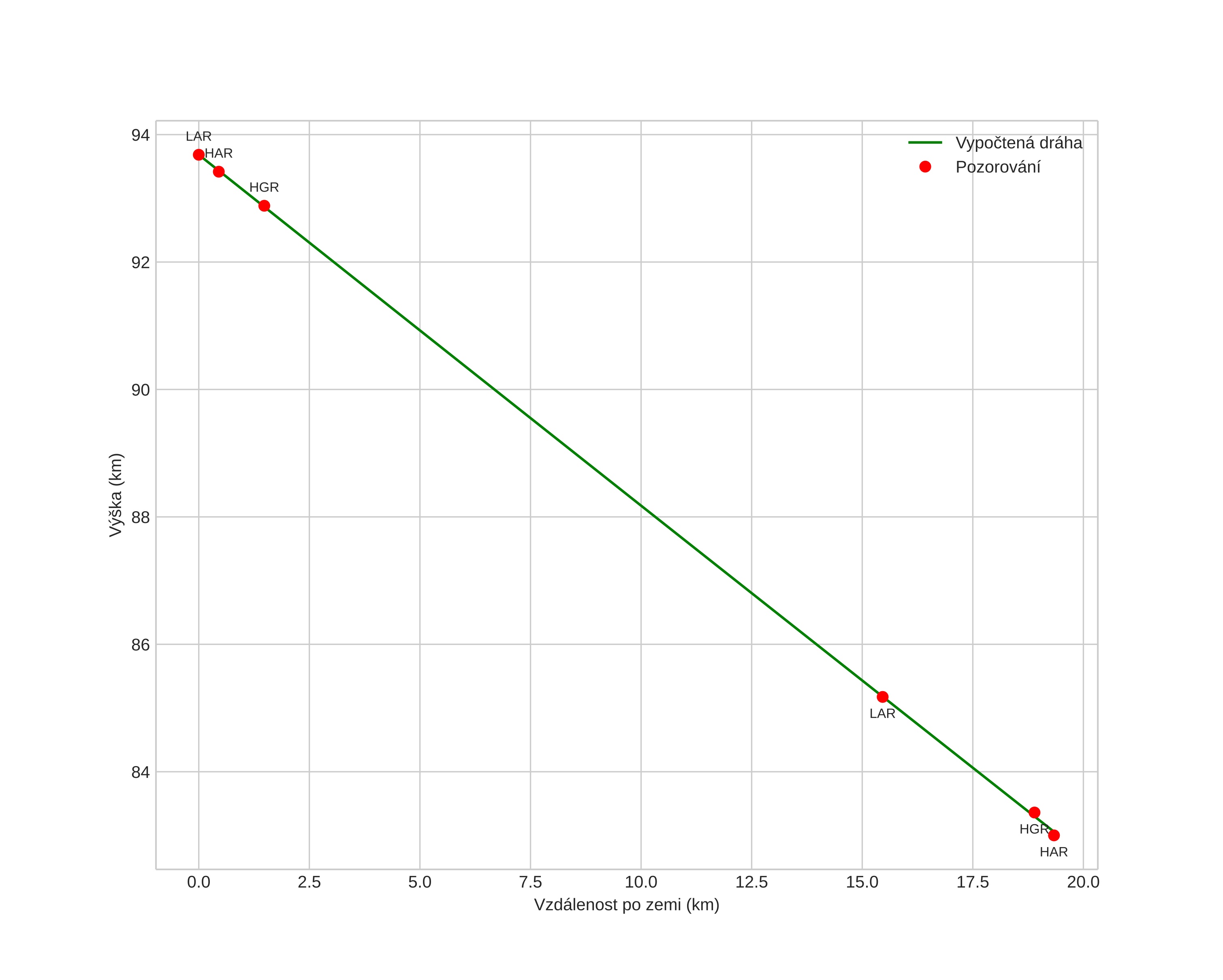
height profile
Atmosférická dráha meteoru:
Počáteční výška: 94,3 km
Konečná výška: 82,4 km
Počáteční poloha: 59,535N 9,543E
Konečná poloha: 59,500N 9,915E
Směr: 100,3°
Sklon: 29,2°
VstupnĂ­ rychlost: 22,3 km/s
Rektascenze radiantu: 08:32 (128,1°)
Deklinace radiantu: 25,8°
MeteorickĂ˝ roj: sporadickĂ˝
Elementy dráhy meteoroidu:
Vzdálenost v periheliu: 0,693 AU
Excentricita: 0,731
Sklon dráhy: 4,0°
Délka vzestupného uzlu: 312,2°
Argument perihelia: 252,8°
Střední anomálie: 350,0°
Epocha: 2025 FEB 01 04:51:36
orbit plot

NeinteraktivnĂ­ graf | InteraktivnĂ­ graf

position vs time
speed and acceleration