🇳🇴 🇬🇧 🇩🇪 🇨🇿 🇫🇮

Meteor, poloha: Orsa 2025-02-01 17:34:21 UTC

Soubor KML  |  InteraktivnĂ­ mapa

Mapa zobrazuje dráhy meteoru. Světlejší čáry ukazují směry od pozorovacích stanic při objevení se meteoru a tmavší čáry, kde byl naposledy viděn. Modrá šipka značí viditelnou dráhu meteoru.

static map
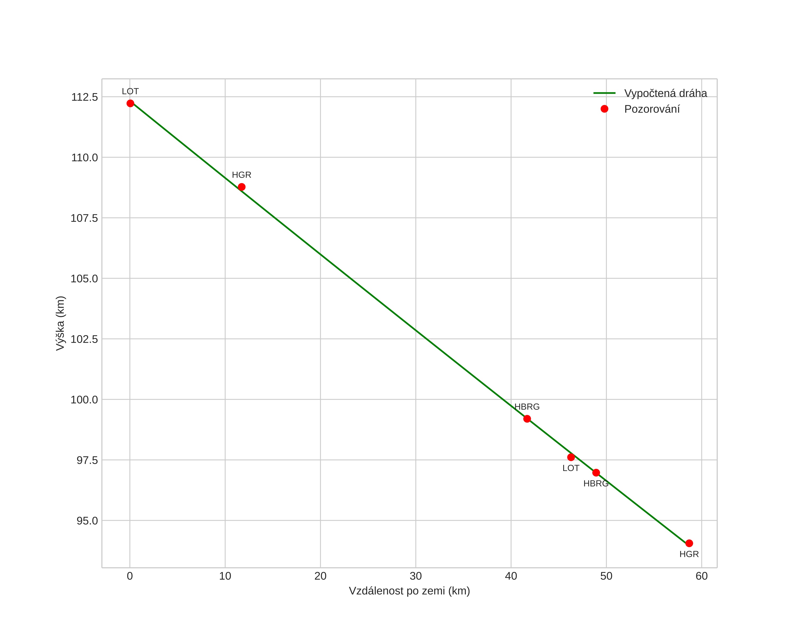
height profile
Atmosférická dráha meteoru:
Počáteční výška: 109,1 km
Konečná výška: 94,3 km
Počáteční poloha: 61,539N 14,697E
Konečná poloha: 61,099N 14,646E
Směr: 183,2°
Sklon: 16,8°
VstupnĂ­ rychlost: 49,3 km/s
Rektascenze radiantu: 15:05 (226,3°)
Deklinace radiantu: 44,2°
MeteorickĂ˝ roj: sporadickĂ˝
Elementy dráhy meteoroidu:
Vzdálenost v periheliu: 0,940 AU
Excentricita: 0,964
Sklon dráhy: 81,1°
Délka vzestupného uzlu: 312,8°
Argument perihelia: 205,0°
Střední anomálie: 359,9°
Epocha: 2025 FEB 01 17:34:21
orbit plot

NeinteraktivnĂ­ graf | InteraktivnĂ­ graf

position vs time
speed and acceleration