🇳🇴 🇬🇧 🇩🇪 🇨🇿 🇫🇮

Meteor Eidsvollin yllä 2025-02-01 17:54:05 UTC

KML-tiedosto  |  Interaktiivinen kartta

Kartta näyttää meteorin suuntahavainnot. Vaaleammat viivat näyttävät suunnat havaintoasemilta meteorin ilmestyessä, ja tummemmat viivat näyttävät, missä se viimeksi nähtiin. Sininen nuoli näyttää meteorin näkyvän lennon.

static map
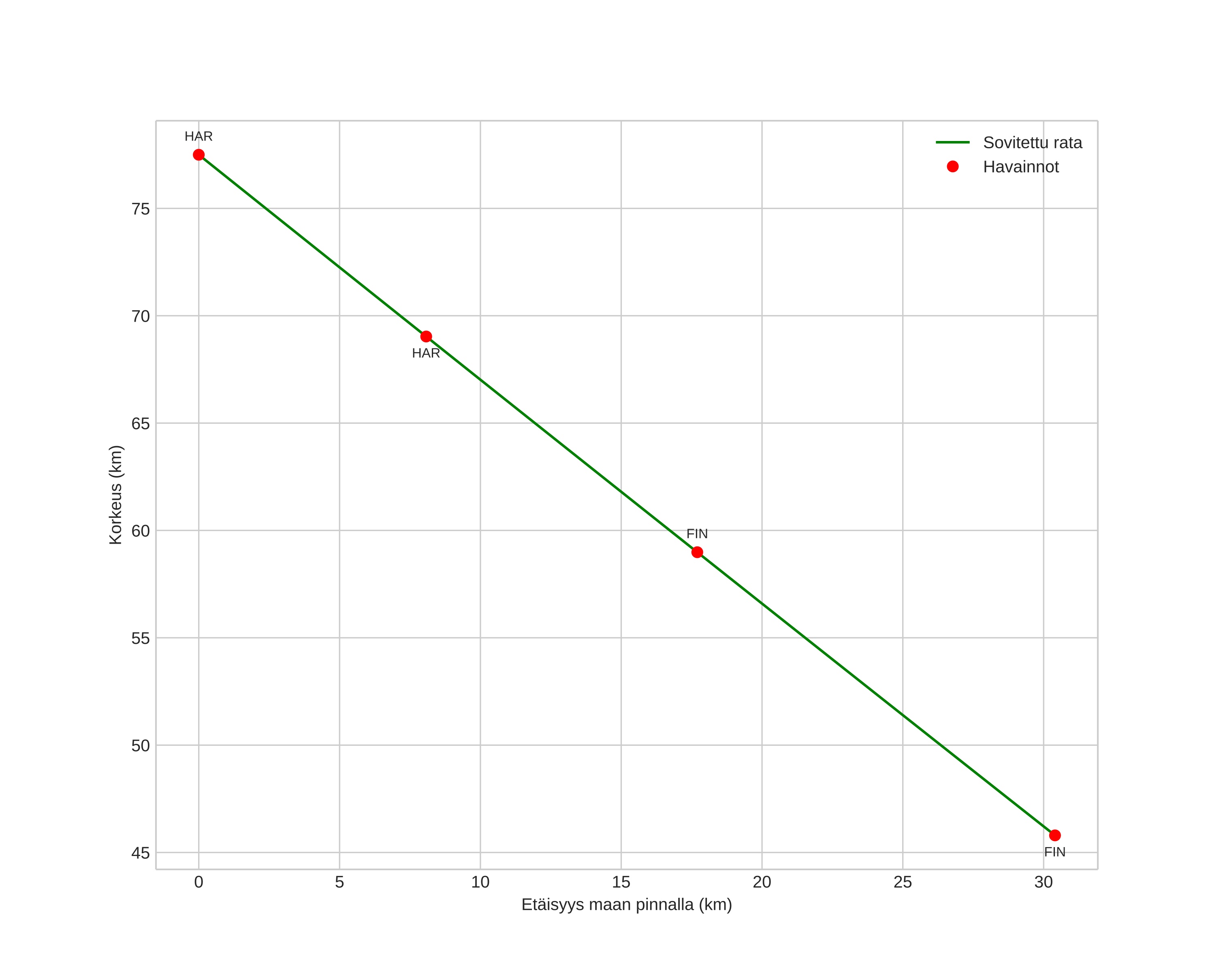
height profile
Meteorin ilmakehärata:
Alkukorkeus: 73,4 km
Loppukorkeus: 62,0 km
Alkupiste: 60,357N 11,292E
Loppupiste: 60,400N 11,347E
Suunta: 32,0°
Kallistuskulma: 63,6°
Tulonopeus: 12,7 km/s
Radiantin R,A,: 01:59 (29,8°)
Radiantin Dekl,: 26,9°
Meteoriparvi: Sporadinen
Meteoroidin rataelementit:
Perihelietäisyys: 0,985 AU
Eksentrisyys: 0,461
Inklinaatio: 2,3°
Nousevan solmun pituus: 312,7°
Perihelin argumentti: 175,9°
Keskianomalia: 1,4°
Epookki: 2025 FEB 01 17:54:05
orbit plot

Ei-interaktiivinen kuvaaja | Interaktiivinen kuvaaja

position vs time
speed and acceleration