🇳🇴 🇬🇧 🇩🇪 🇨🇿 🇫🇮

Meteor, poloha: Finnsnes 2025-02-03 05:39:55 UTC

Soubor KML  |  InteraktivnĂ­ mapa

Mapa zobrazuje dráhy meteoru. Světlejší čáry ukazují směry od pozorovacích stanic při objevení se meteoru a tmavší čáry, kde byl naposledy viděn. Modrá šipka značí viditelnou dráhu meteoru.

static map
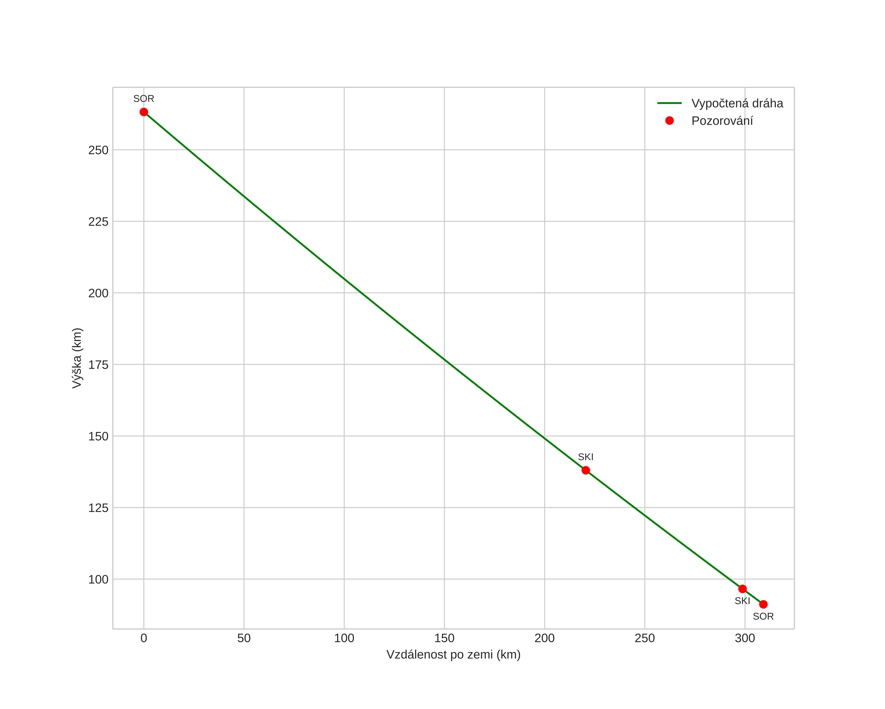
height profile
Atmosférická dráha meteoru:
Počáteční výška: 151,4 km
Konečná výška: 95,6 km
Počáteční poloha: 69,787N 15,563E
Konečná poloha: 69,701N 18,289E
Směr: 93,9°
Sklon: 27,9°
VstupnĂ­ rychlost: 73,0 km/s
Rektascenze radiantu: 10:01 (150,4°)
Deklinace radiantu: 27,1°
MeteorickĂ˝ roj: sporadickĂ˝
Elementy dráhy meteoroidu:
Vzdálenost v periheliu: 0,250 AU
Excentricita: 2,035
Sklon dráhy: 41,8°
Délka vzestupného uzlu: 314,3°
Argument perihelia: 276,5°
Střední anomálie: -176,8°
Epocha: 2025 FEB 03 05:39:55
orbit plot

NeinteraktivnĂ­ graf | InteraktivnĂ­ graf

position vs time
speed and acceleration