🇳🇴 🇬🇧 🇩🇪 🇨🇿 🇫🇮

Meteor Hurdalin yllä 2025-02-05 20:36:34 UTC

KML-tiedosto  |  Interaktiivinen kartta

Kartta näyttää meteorin suuntahavainnot. Vaaleammat viivat näyttävät suunnat havaintoasemilta meteorin ilmestyessä, ja tummemmat viivat näyttävät, missä se viimeksi nähtiin. Sininen nuoli näyttää meteorin näkyvän lennon.

static map
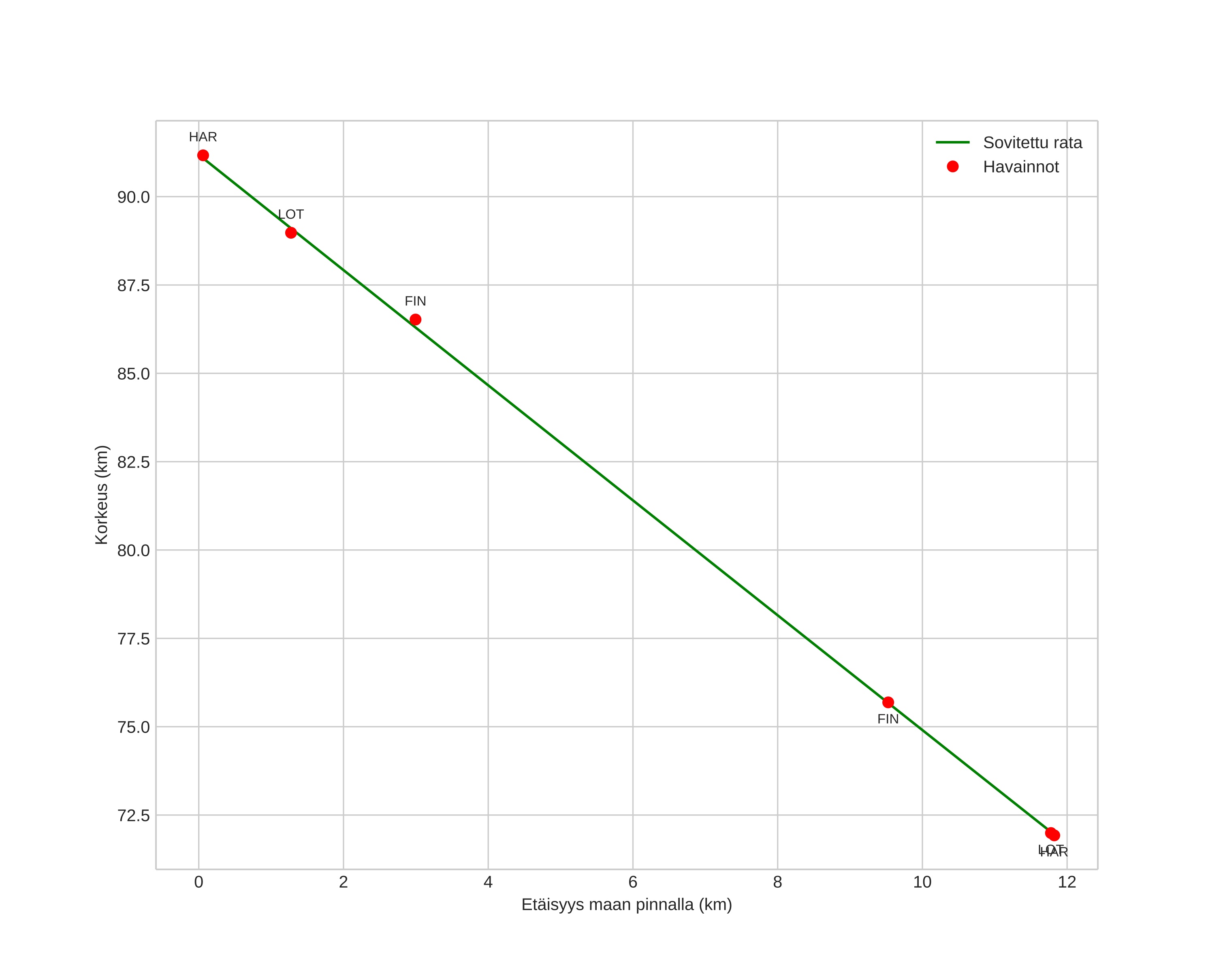
height profile
Meteorin ilmakehärata:
Alkukorkeus: 92,5 km
Loppukorkeus: 71,5 km
Alkupiste: 60,423N 11,277E
Loppupiste: 60,535N 11,216E
Suunta: 345,1°
Kallistuskulma: 58,4°
Tulonopeus: 15,5 km/s
Radiantin R,A,: 06:59 (104,9°)
Radiantin Dekl,: 23,7°
Meteoriparvi: Sporadinen
Meteoroidin rataelementit:
Perihelietäisyys: 0,911 AU
Eksentrisyys: 0,569
Inklinaatio: 0,3°
Nousevan solmun pituus: 316,5°
Perihelin argumentti: 218,3°
Keskianomalia: 350,9°
Epookki: 2025 FEB 05 20:36:34
orbit plot

Ei-interaktiivinen kuvaaja | Interaktiivinen kuvaaja

position vs time
speed and acceleration