🇳🇴 🇬🇧 🇩🇪 🇨🇿 🇫🇮

Meteor, poloha: Flisa 2025-02-05 21:08:59 UTC

Soubor KML  |  InteraktivnĂ­ mapa

Mapa zobrazuje dráhy meteoru. Světlejší čáry ukazují směry od pozorovacích stanic při objevení se meteoru a tmavší čáry, kde byl naposledy viděn. Modrá šipka značí viditelnou dráhu meteoru.

static map
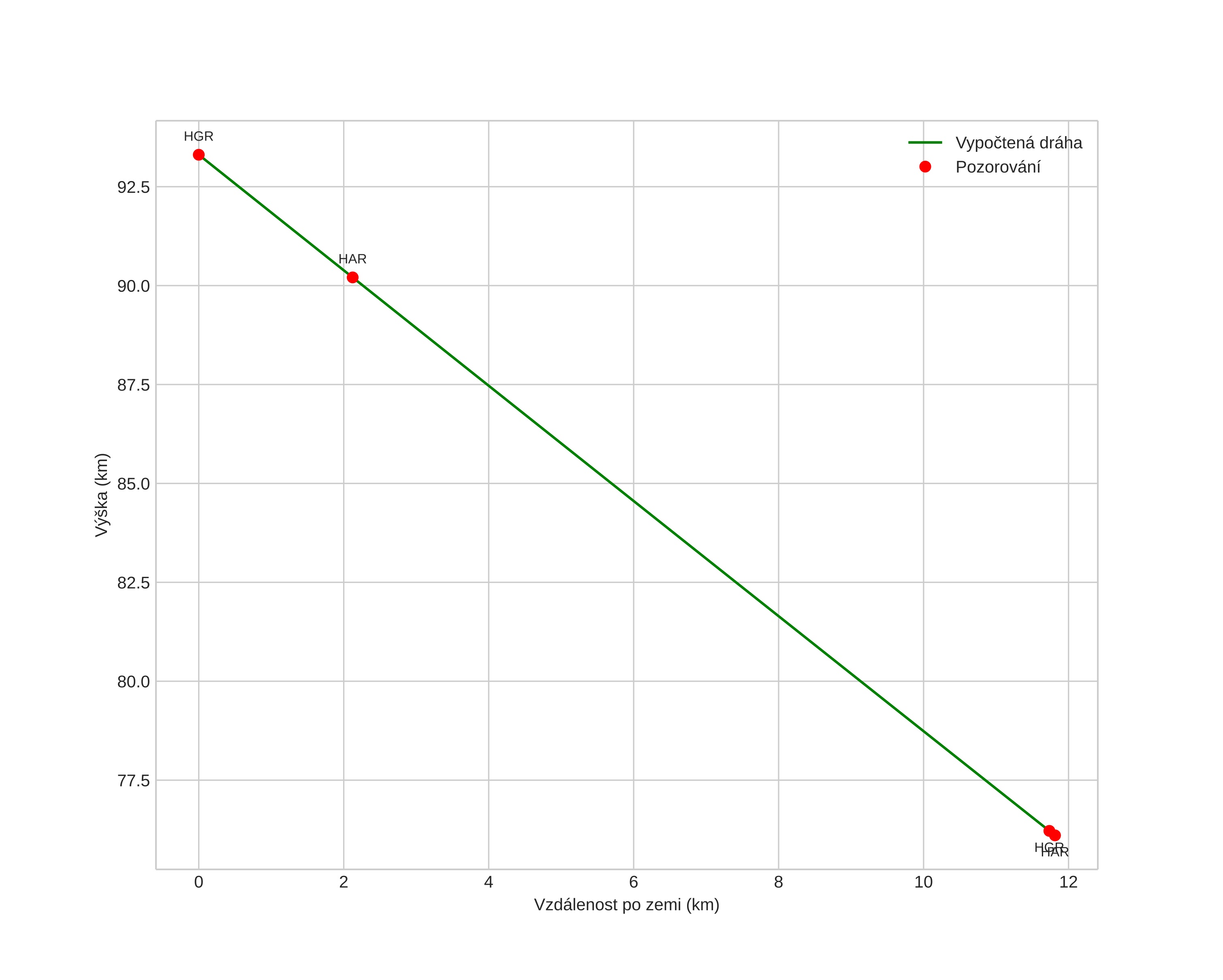
height profile
Atmosférická dráha meteoru:
Počáteční výška: 93,3 km
Konečná výška: 75,7 km
Počáteční poloha: 60,852N 12,206E
Konečná poloha: 60,743N 12,206E
Směr: 179,9°
Sklon: 55,5°
VstupnĂ­ rychlost: 20,9 km/s
Rektascenze radiantu: 19:24 (291,1°)
Deklinace radiantu: 81,7°
MeteorickĂ˝ roj: sporadickĂ˝
Elementy dráhy meteoroidu:
Vzdálenost v periheliu: 0,981 AU
Excentricita: 0,639
Sklon dráhy: 26,4°
Délka vzestupného uzlu: 317,0°
Argument perihelia: 188,9°
Střední anomálie: 358,5°
Epocha: 2025 FEB 05 21:08:59
orbit plot

NeinteraktivnĂ­ graf | InteraktivnĂ­ graf

position vs time
speed and acceleration