🇳🇴 🇬🇧 🇩🇪 🇨🇿 🇫🇮

Meteor Notoddenin yllä 2025-02-05 21:32:43 UTC

KML-tiedosto  |  Interaktiivinen kartta

Kartta näyttää meteorin suuntahavainnot. Vaaleammat viivat näyttävät suunnat havaintoasemilta meteorin ilmestyessä, ja tummemmat viivat näyttävät, missä se viimeksi nähtiin. Sininen nuoli näyttää meteorin näkyvän lennon.

static map
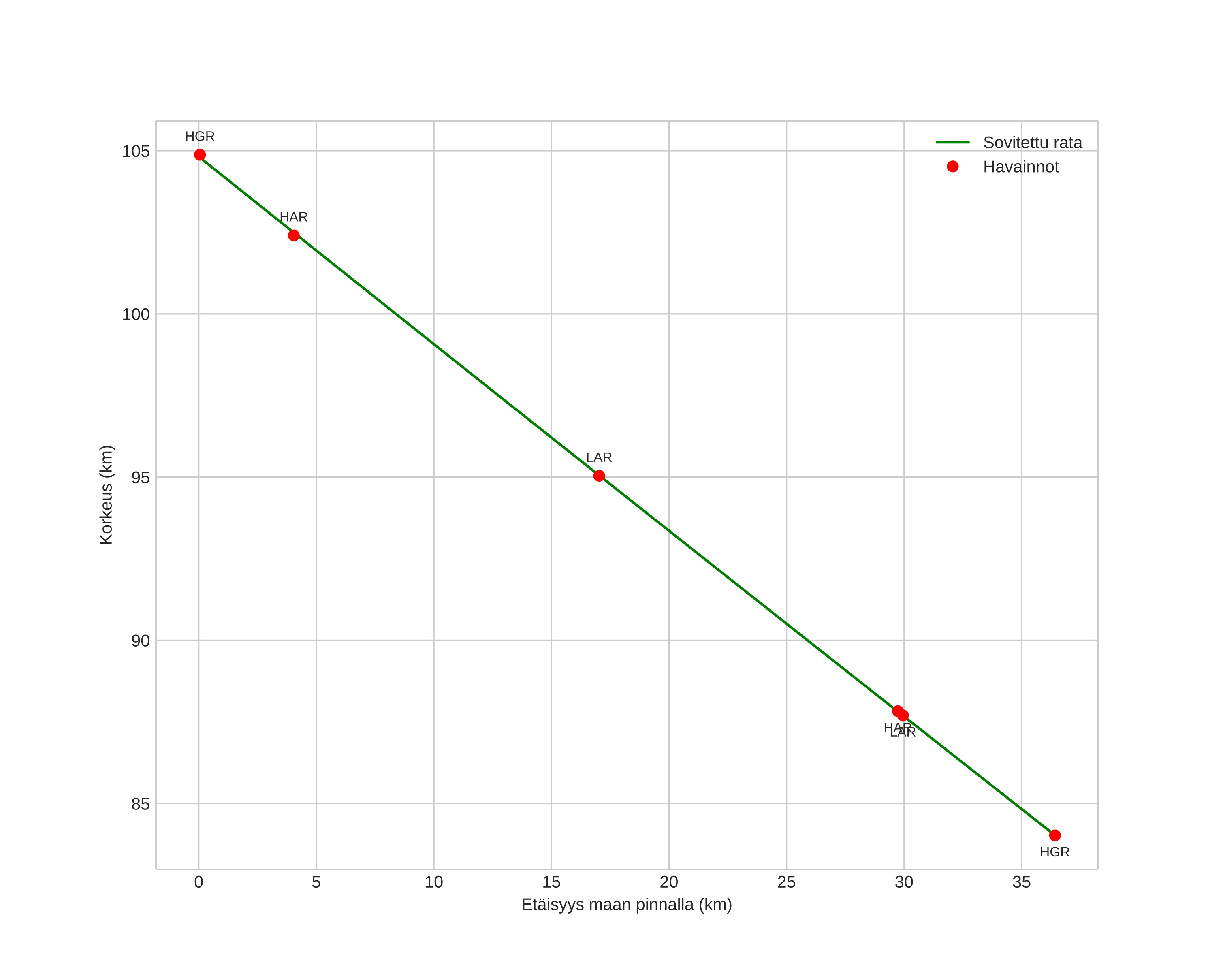
height profile
Meteorin ilmakehärata:
Alkukorkeus: 98,9 km
Loppukorkeus: 87,2 km
Alkupiste: 59,440N 9,644E
Loppupiste: 59,515N 9,312E
Suunta: 294,2°
Kallistuskulma: 29,6°
Tulonopeus: 41,9 km/s
Radiantin R,A,: 10:55 (163,9°)
Radiantin Dekl,: 13,2°
Meteoriparvi: Sporadinen
Meteoroidin rataelementit:
Perihelietäisyys: 0,127 AU
Eksentrisyys: 0,966
Inklinaatio: 15,9°
Nousevan solmun pituus: 317,0°
Perihelin argumentti: 320,6°
Keskianomalia: 355,6°
Epookki: 2025 FEB 05 21:32:43
orbit plot

Ei-interaktiivinen kuvaaja | Interaktiivinen kuvaaja

position vs time
speed and acceleration

Larvik (LAR) cam6


gnomonic
Videot:
• Gnomoninen
• Gnomoninen koordinaateilla
• Alkuperäinen
• Alkuperäinen koordinaateilla
Kuvat:
• Gnomoninen
• Gnomoninen koordinaateilla
• Gnomoninen merkinnöillä
• Alkuperäinen
• Alkuperäinen koordinaateilla
Tekstitiedostot:
• Havaintoraportti
• Observaatio
• Koordinaatit
• Loki
Kirkkaus