🇳🇴 🇬🇧 🇩🇪 🇨🇿 🇫🇮

Meteor, poloha: Innbygda 2025-02-06 04:23:45 UTC

Soubor KML  |  InteraktivnĂ­ mapa

Mapa zobrazuje dráhy meteoru. Světlejší čáry ukazují směry od pozorovacích stanic při objevení se meteoru a tmavší čáry, kde byl naposledy viděn. Modrá šipka značí viditelnou dráhu meteoru.

static map
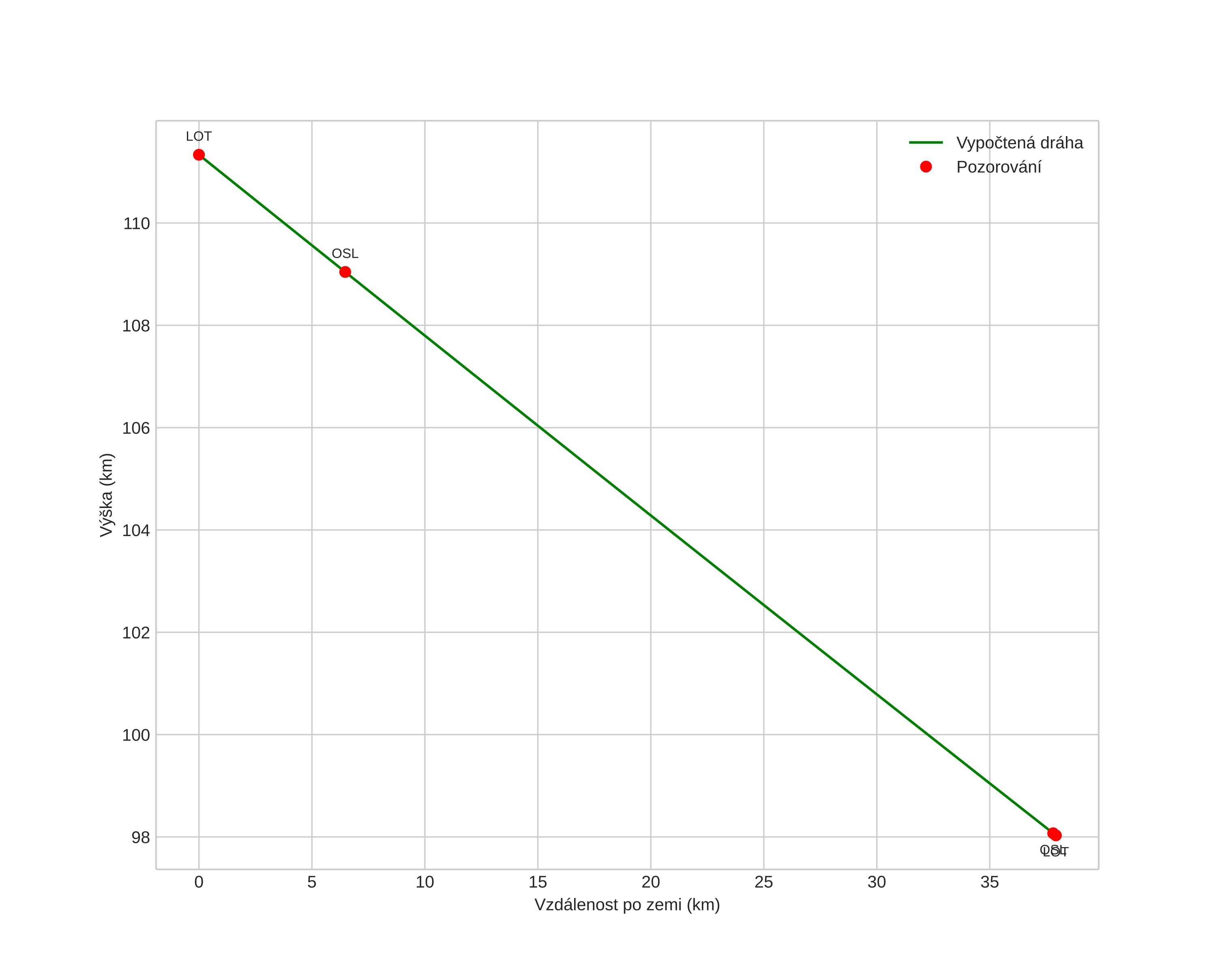
height profile
Atmosférická dráha meteoru:
Počáteční výška: 112,6 km
Konečná výška: 99,4 km
Počáteční poloha: 60,923N 12,242E
Konečná poloha: 61,302N 12,284E
Směr: 3,1°
Sklon: 17,4°
VstupnĂ­ rychlost: 73,0 km/s
Rektascenze radiantu: 14:04 (211,1°)
Deklinace radiantu: -12,1°
MeteorickĂ˝ roj: sporadickĂ˝
Elementy dráhy meteoroidu:
Vzdálenost v periheliu: 0,835 AU
Excentricita: 1,080
Sklon dráhy: 179,0°
Délka vzestupného uzlu: 317,4°
Argument perihelia: 225,4°
Střední anomálie: -0,8°
Epocha: 2025 FEB 06 04:23:45
orbit plot

NeinteraktivnĂ­ graf | InteraktivnĂ­ graf

position vs time
speed and acceleration

Loten (LOT) cam6


gnomonic
Videa
• Gnomonická
• Gnomonická se souřadnicemi
• Původní
• Původní se souřadnicemi
Obrázky
• Gnomonická
• Gnomonická se souřadnicemi
• Gnomonická s popisky
• Původní
• Původní se souřadnicemi
Textové soubory
• Detekce
• Pozorování
• Souřadnice
• Protokol
Jasnost