🇳🇴 🇬🇧 🇩🇪 🇨🇿 🇫🇮

Meteor, poloha: Kragerø 2025-02-09 20:49:40 UTC

Soubor KML  |  InteraktivnĂ­ mapa

Mapa zobrazuje dráhy meteoru. Světlejší čáry ukazují směry od pozorovacích stanic při objevení se meteoru a tmavší čáry, kde byl naposledy viděn. Modrá šipka značí viditelnou dráhu meteoru.

static map
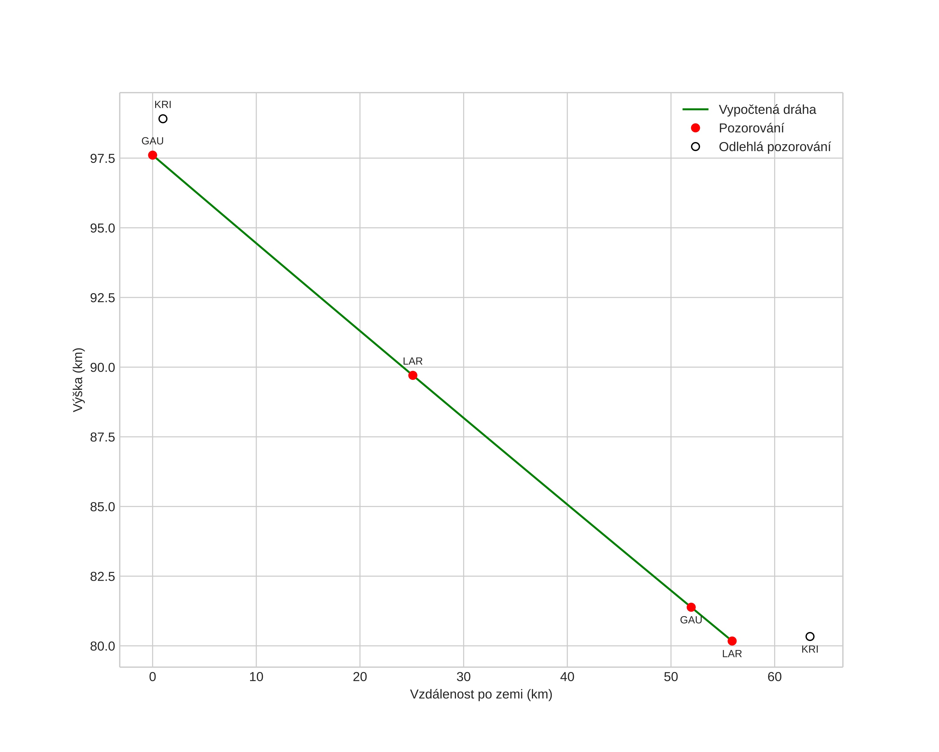
height profile
Atmosférická dráha meteoru:
Počáteční výška: 97,9 km
Konečná výška: 80,4 km
Počáteční poloha: 58,873N 10,061E
Konečná poloha: 58,420N 9,662E
Směr: 204,8°
Sklon: 17,5°
VstupnĂ­ rychlost: 45,2 km/s
Rektascenze radiantu: 16:35 (249,0°)
Deklinace radiantu: 43,8°
MeteorickĂ˝ roj: sporadickĂ˝
Elementy dráhy meteoroidu:
Vzdálenost v periheliu: 0,986 AU
Excentricita: 0,878
Sklon dráhy: 73,9°
Délka vzestupného uzlu: 321,0°
Argument perihelia: 177,2°
Střední anomálie: 0,1°
Epocha: 2025 FEB 09 20:49:40
orbit plot

NeinteraktivnĂ­ graf | InteraktivnĂ­ graf

position vs time
speed and acceleration