🇳🇴 🇬🇧 🇩🇪 🇨🇿 🇫🇮

Meteor, poloha: Langesund 2025-02-10 01:17:09 UTC

Soubor KML  |  InteraktivnĂ­ mapa

Mapa zobrazuje dráhy meteoru. Světlejší čáry ukazují směry od pozorovacích stanic při objevení se meteoru a tmavší čáry, kde byl naposledy viděn. Modrá šipka značí viditelnou dráhu meteoru.

static map
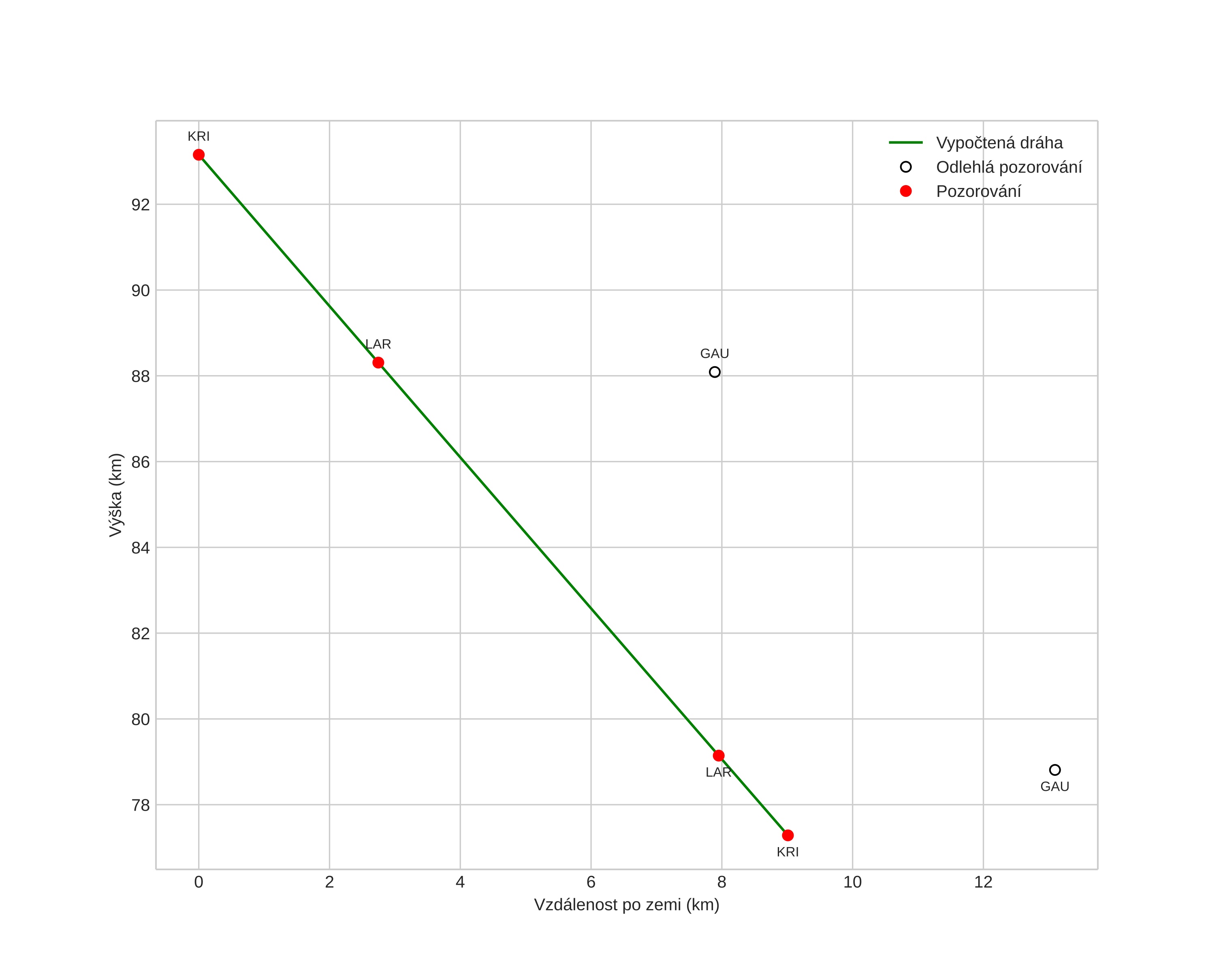
height profile
Atmosférická dráha meteoru:
Počáteční výška: 94,2 km
Konečná výška: 77,4 km
Počáteční poloha: 58,314N 9,696E
Konečná poloha: 58,347N 9,847E
Směr: 67,2°
Sklon: 60,4°
VstupnĂ­ rychlost: 20,6 km/s
Rektascenze radiantu: 08:39 (129,9°)
Deklinace radiantu: 37,4°
MeteorickĂ˝ roj: sporadickĂ˝
Elementy dráhy meteoroidu:
Vzdálenost v periheliu: 0,807 AU
Excentricita: 0,756
Sklon dráhy: 8,8°
Délka vzestupného uzlu: 321,2°
Argument perihelia: 234,8°
Střední anomálie: 354,3°
Epocha: 2025 FEB 10 01:17:09
orbit plot

NeinteraktivnĂ­ graf | InteraktivnĂ­ graf

position vs time
speed and acceleration