🇳🇴 🇬🇧 🇩🇪 🇨🇿 🇫🇮

Meteor, poloha: FosnavĂĄg 2025-02-10 04:02:09 UTC

Soubor KML  |  InteraktivnĂ­ mapa

Mapa zobrazuje dráhy meteoru. Světlejší čáry ukazují směry od pozorovacích stanic při objevení se meteoru a tmavší čáry, kde byl naposledy viděn. Modrá šipka značí viditelnou dráhu meteoru.

static map
height profile
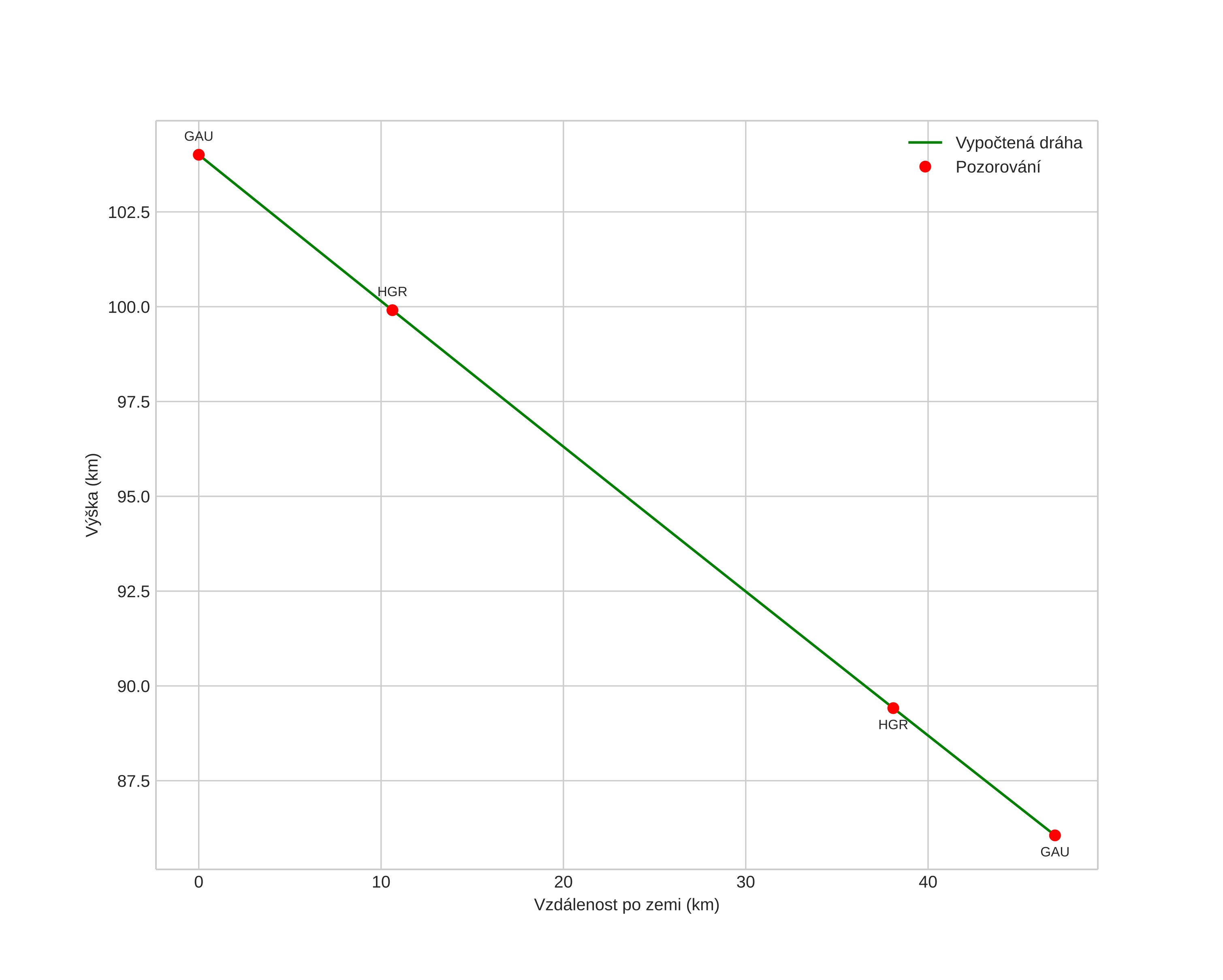
Atmosférická dráha meteoru:
Počáteční výška: 106,3 km
Konečná výška: 89,4 km
Počáteční poloha: 62,163N 5,940E
Konečná poloha: 62,471N 5,413E
Směr: 321,8°
Sklon: 21,1°
VstupnĂ­ rychlost: 73,0 km/s
Rektascenze radiantu: 16:07 (241,8°)
Deklinace radiantu: -1,8°
MeteorickĂ˝ roj: sporadickĂ˝
Elementy dráhy meteoroidu:
Vzdálenost v periheliu: 0,937 AU
Excentricita: 1,252
Sklon dráhy: 148,1°
Délka vzestupného uzlu: 321,3°
Argument perihelia: 155,5°
Střední anomálie: 2,1°
Epocha: 2025 FEB 10 04:02:09
orbit plot

NeinteraktivnĂ­ graf | InteraktivnĂ­ graf

position vs time
speed and acceleration