🇳🇴 🇬🇧 🇩🇪 🇨🇿 🇫🇮

Meteor, poloha: Sørumsand 2025-02-10 05:34:47 UTC

Soubor KML  |  InteraktivnĂ­ mapa

Mapa zobrazuje dráhy meteoru. Světlejší čáry ukazují směry od pozorovacích stanic při objevení se meteoru a tmavší čáry, kde byl naposledy viděn. Modrá šipka značí viditelnou dráhu meteoru.

static map
height profile
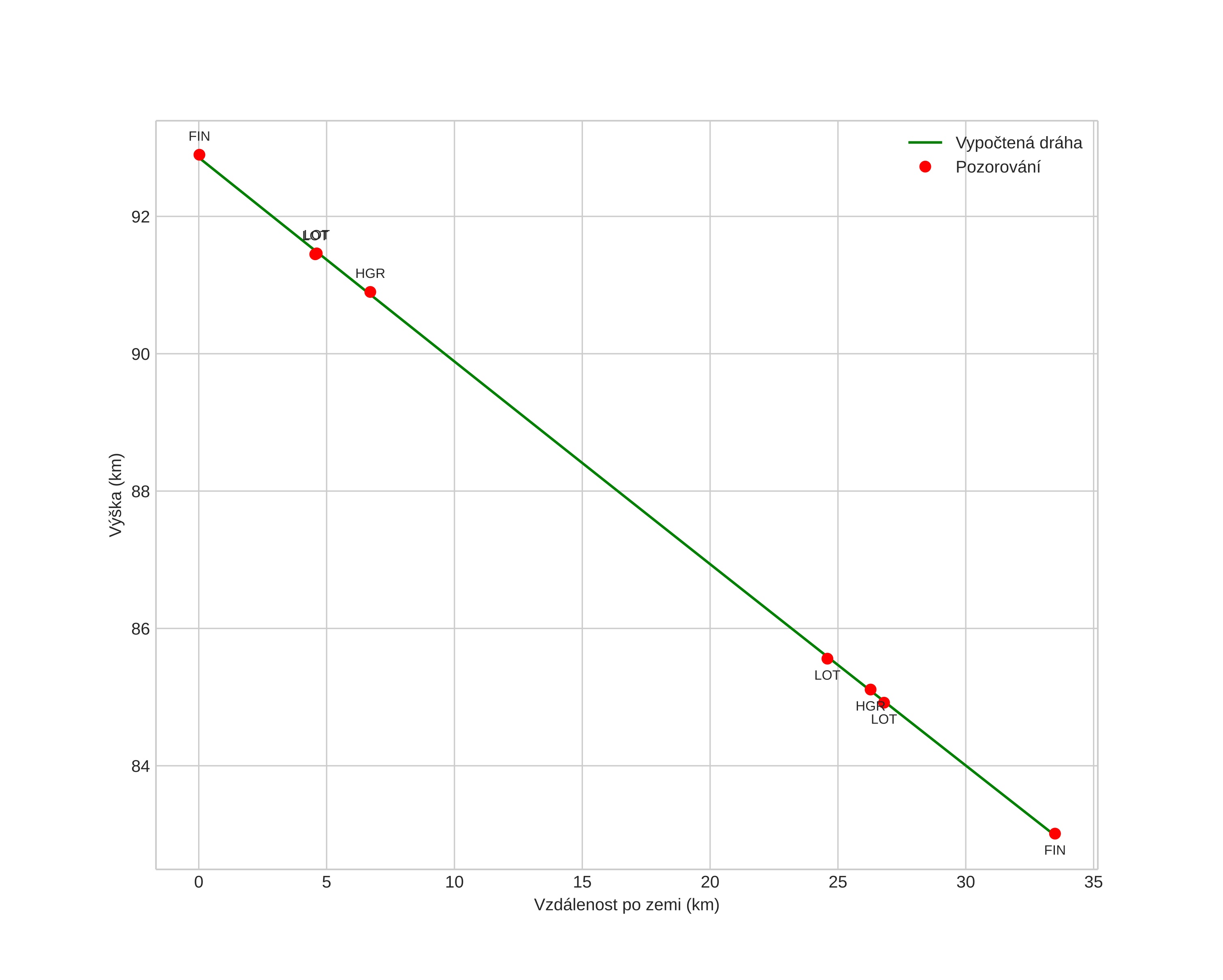
Atmosférická dráha meteoru:
Počáteční výška: 92,9 km
Konečná výška: 83,0 km
Počáteční poloha: 60,054N 10,693E
Konečná poloha: 60,016N 11,292E
Směr: 96,9°
Sklon: 16,5°
VstupnĂ­ rychlost: 25,9 km/s
Rektascenze radiantu: 09:38 (144,7°)
Deklinace radiantu: 13,9°
MeteorickĂ˝ roj: sporadickĂ˝
Elementy dráhy meteoroidu:
Vzdálenost v periheliu: 0,548 AU
Excentricita: 0,772
Sklon dráhy: 0,1°
Délka vzestupného uzlu: 142,5°
Argument perihelia: 90,1°
Střední anomálie: 348,3°
Epocha: 2025 FEB 10 05:34:47
orbit plot

NeinteraktivnĂ­ graf | InteraktivnĂ­ graf

position vs time
speed and acceleration