🇳🇴 🇬🇧 🇩🇪 🇨🇿 🇫🇮

Meteor, poloha: Kirkenær 2025-02-11 01:19:14 UTC

Soubor KML  |  InteraktivnĂ­ mapa

Mapa zobrazuje dráhy meteoru. Světlejší čáry ukazují směry od pozorovacích stanic při objevení se meteoru a tmavší čáry, kde byl naposledy viděn. Modrá šipka značí viditelnou dráhu meteoru.

static map
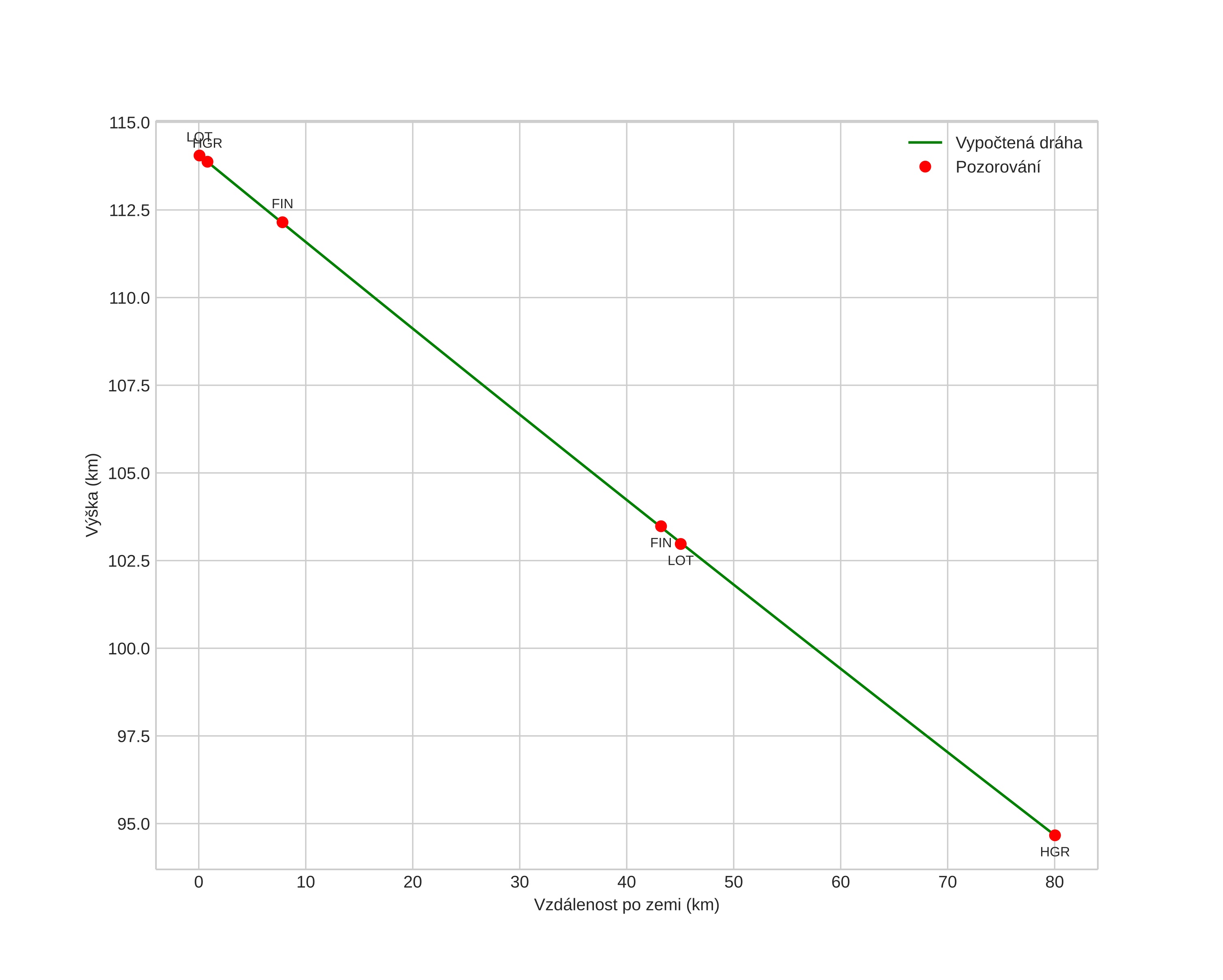
height profile
Atmosférická dráha meteoru:
Počáteční výška: 115,6 km
Konečná výška: 96,8 km
Počáteční poloha: 60,282N 13,718E
Konečná poloha: 60,421N 12,258E
Směr: 281,6°
Sklon: 13,0°
VstupnĂ­ rychlost: 64,2 km/s
Rektascenze radiantu: 16:33 (248,4°)
Deklinace radiantu: 5,1°
MeteorickĂ˝ roj: sporadickĂ˝
Elementy dráhy meteoroidu:
Vzdálenost v periheliu: 0,859 AU
Excentricita: 0,795
Sklon dráhy: 131,0°
Délka vzestupného uzlu: 322,2°
Argument perihelia: 135,0°
Střední anomálie: 3,4°
Epocha: 2025 FEB 11 01:19:14
orbit plot

NeinteraktivnĂ­ graf | InteraktivnĂ­ graf

position vs time
speed and acceleration

Hagar (HGR) cam3


gnomonic
Videa
• Gnomonická
• Gnomonická se souřadnicemi
• Původní
• Původní se souřadnicemi
Obrázky
• Gnomonická
• Gnomonická se souřadnicemi
• Původní
• Původní se souřadnicemi
Textové soubory
• Detekce
• Pozorování
• Souřadnice
• Protokol
Jasnost