🇳🇴 🇬🇧 🇩🇪 🇨🇿 🇫🇮

Meteor, poloha: Sand 2025-02-11 01:37:54 UTC

Soubor KML  |  InteraktivnĂ­ mapa

Mapa zobrazuje dráhy meteoru. Světlejší čáry ukazují směry od pozorovacích stanic při objevení se meteoru a tmavší čáry, kde byl naposledy viděn. Modrá šipka značí viditelnou dráhu meteoru.

static map
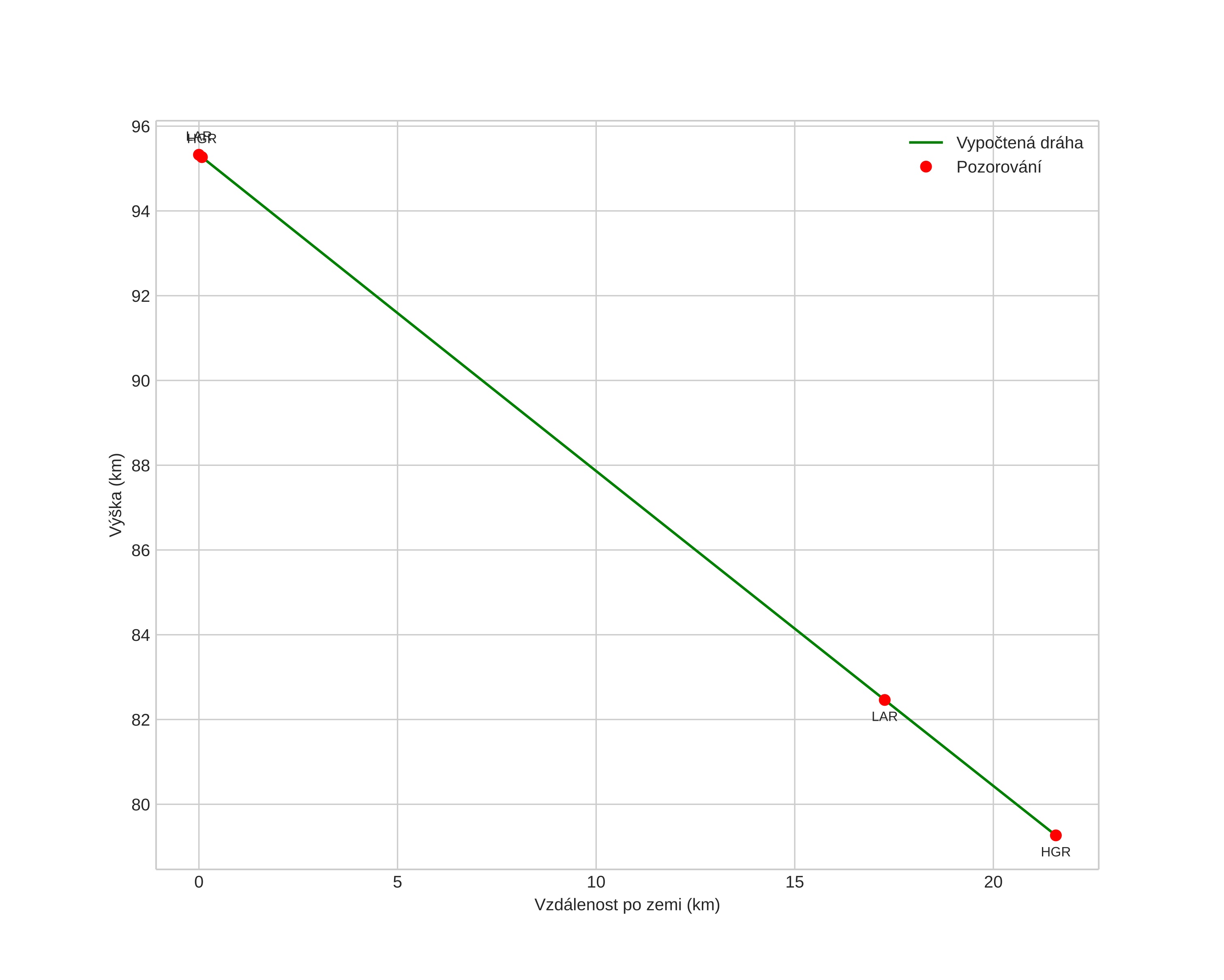
height profile
Atmosférická dráha meteoru:
Počáteční výška: 93,6 km
Konečná výška: 78,2 km
Počáteční poloha: 60,319N 11,470E
Konečná poloha: 60,512N 11,499E
Směr: 4,2°
Sklon: 35,7°
VstupnĂ­ rychlost: 42,5 km/s
Rektascenze radiantu: 11:32 (173,1°)
Deklinace radiantu: 5,1°
MeteorickĂ˝ roj: sporadickĂ˝
Elementy dráhy meteoroidu:
Vzdálenost v periheliu: 0,057 AU
Excentricita: 0,972
Sklon dráhy: 8,0°
Délka vzestupného uzlu: 322,2°
Argument perihelia: 335,9°
Střední anomálie: 349,0°
Epocha: 2025 FEB 11 01:37:54
orbit plot

NeinteraktivnĂ­ graf | InteraktivnĂ­ graf

position vs time
speed and acceleration

Larvik (LAR) cam1


gnomonic
Videa
• Gnomonická
• Gnomonická se souřadnicemi
• Původní
• Původní se souřadnicemi
Obrázky
• Gnomonická
• Gnomonická se souřadnicemi
• Gnomonická s popisky
• Původní
• Původní se souřadnicemi
Textové soubory
• Detekce
• Pozorování
• Souřadnice
• Protokol
Jasnost