🇳🇴 🇬🇧 🇩🇪 🇨🇿 🇫🇮

Meteor, poloha: Mandal 2025-02-11 04:19:27 UTC

Soubor KML  |  InteraktivnĂ­ mapa

Mapa zobrazuje dráhy meteoru. Světlejší čáry ukazují směry od pozorovacích stanic při objevení se meteoru a tmavší čáry, kde byl naposledy viděn. Modrá šipka značí viditelnou dráhu meteoru.

static map
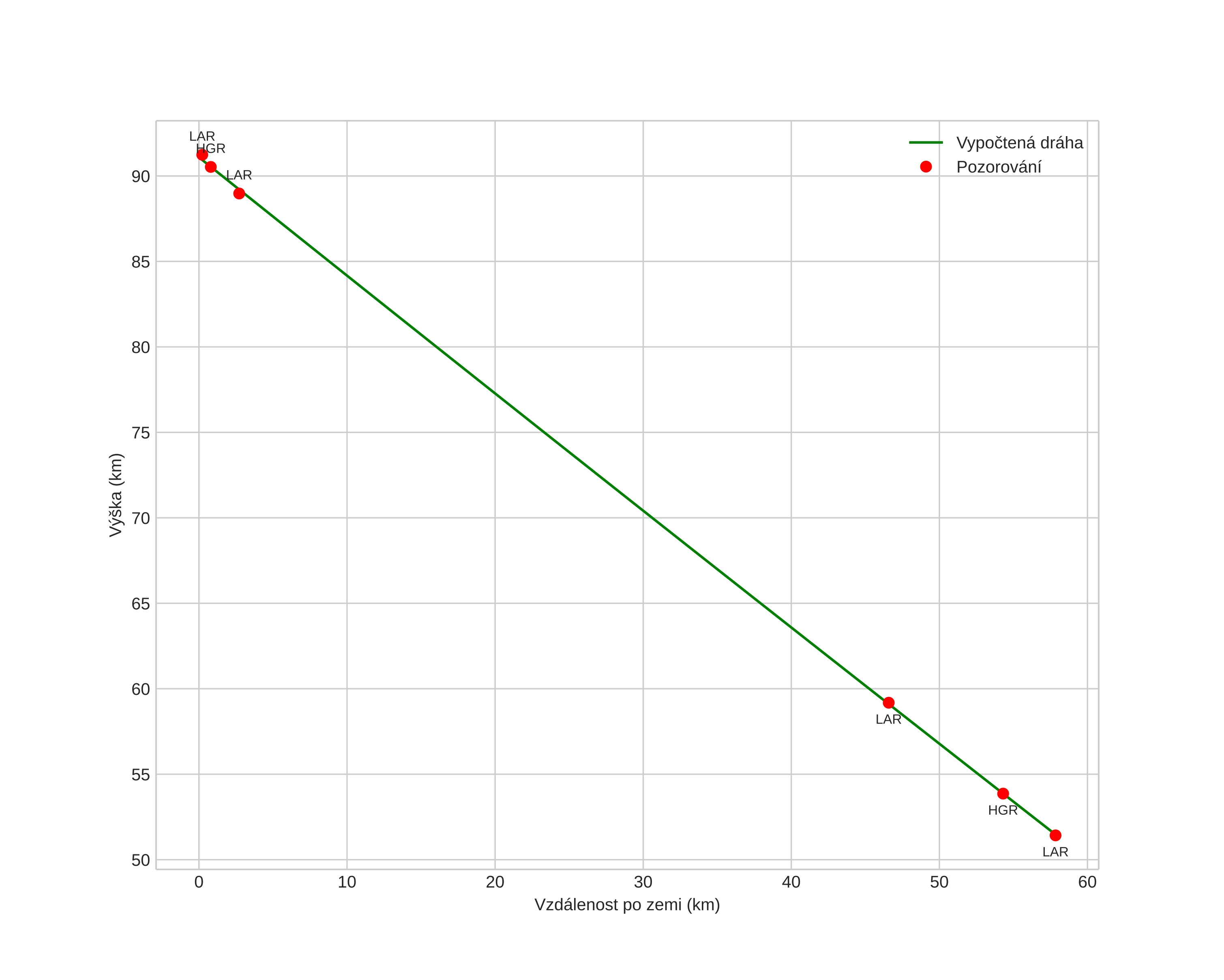
height profile
Atmosférická dráha meteoru:
Počáteční výška: 92,1 km
Konečná výška: 52,3 km
Počáteční poloha: 57,633N 6,770E
Konečná poloha: 57,883N 7,624E
Směr: 60,8°
Sklon: 34,5°
VstupnĂ­ rychlost: 35,1 km/s
Rektascenze radiantu: 10:53 (163,5°)
Deklinace radiantu: 13,9°
MeteorickĂ˝ roj: sporadickĂ˝
Elementy dráhy meteoroidu:
Vzdálenost v periheliu: 0,249 AU
Excentricita: 0,894
Sklon dráhy: 10,3°
Délka vzestupného uzlu: 322,3°
Argument perihelia: 305,8°
Střední anomálie: 349,4°
Epocha: 2025 FEB 11 04:19:27
orbit plot

NeinteraktivnĂ­ graf | InteraktivnĂ­ graf

position vs time
speed and acceleration