🇳🇴 🇬🇧 🇩🇪 🇨🇿 🇫🇮

Meteor, poloha: Bruflat 2025-02-11 17:32:25 UTC

Soubor KML  |  InteraktivnĂ­ mapa

Mapa zobrazuje dráhy meteoru. Světlejší čáry ukazují směry od pozorovacích stanic při objevení se meteoru a tmavší čáry, kde byl naposledy viděn. Modrá šipka značí viditelnou dráhu meteoru.

static map
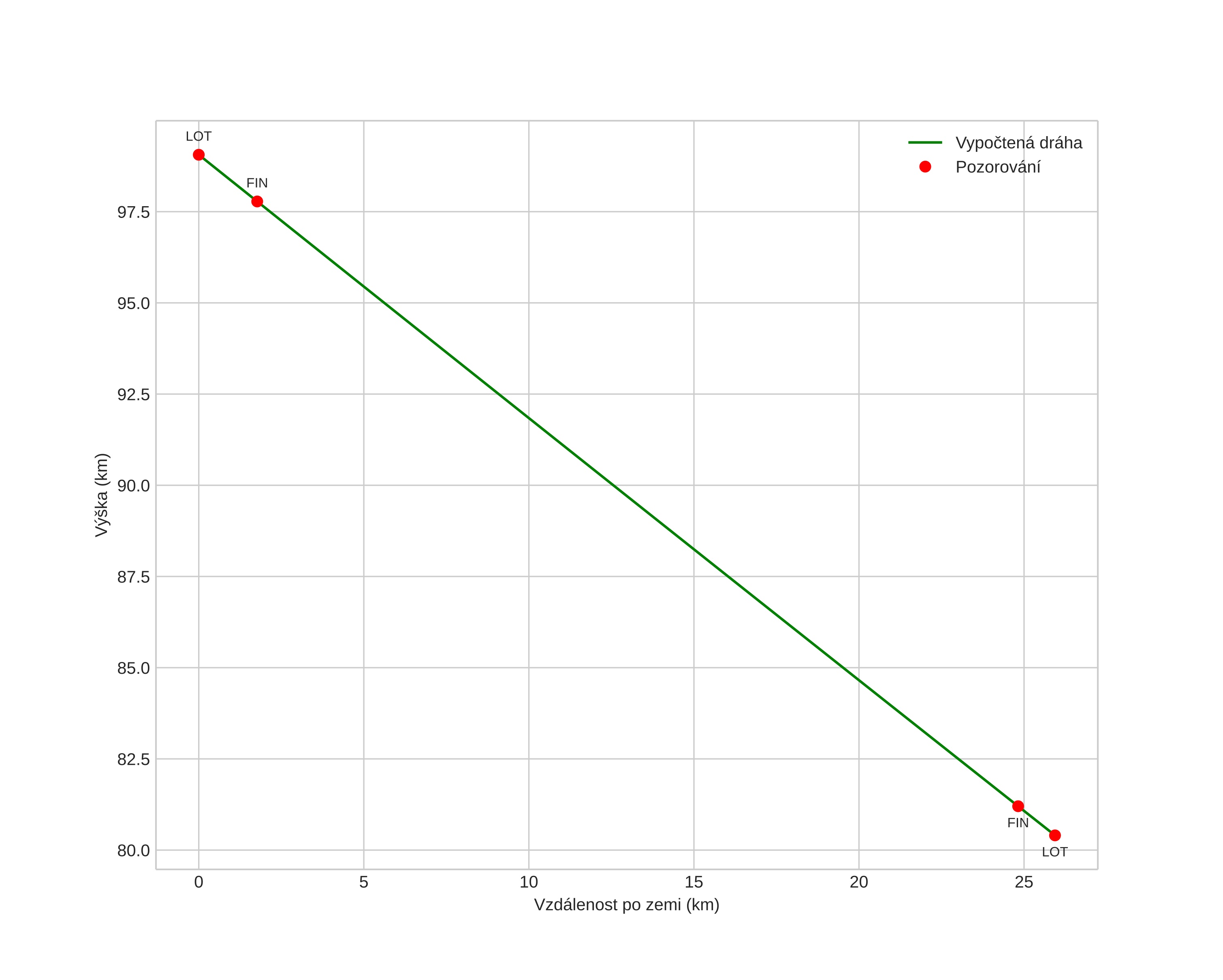
height profile
Atmosférická dráha meteoru:
Počáteční výška: 103,2 km
Konečná výška: 81,2 km
Počáteční poloha: 61,335N 10,156E
Konečná poloha: 61,118N 9,871E
Směr: 212,4°
Sklon: 37,6°
VstupnĂ­ rychlost: 34,8 km/s
Rektascenze radiantu: 12:05 (181,3°)
Deklinace radiantu: 57,9°
MeteorickĂ˝ roj: sporadickĂ˝
Elementy dráhy meteoroidu:
Vzdálenost v periheliu: 0,779 AU
Excentricita: 1,056
Sklon dráhy: 42,4°
Délka vzestupného uzlu: 322,9°
Argument perihelia: 233,9°
Střední anomálie: -0,6°
Epocha: 2025 FEB 11 17:32:25
orbit plot

NeinteraktivnĂ­ graf | InteraktivnĂ­ graf

position vs time
speed and acceleration