🇳🇴 🇬🇧 🇩🇪 🇨🇿 🇫🇮

Meteor, poloha: Geilo 2025-02-11 23:18:06 UTC

Soubor KML  |  InteraktivnĂ­ mapa

Mapa zobrazuje dráhy meteoru. Světlejší čáry ukazují směry od pozorovacích stanic při objevení se meteoru a tmavší čáry, kde byl naposledy viděn. Modrá šipka značí viditelnou dráhu meteoru.

static map
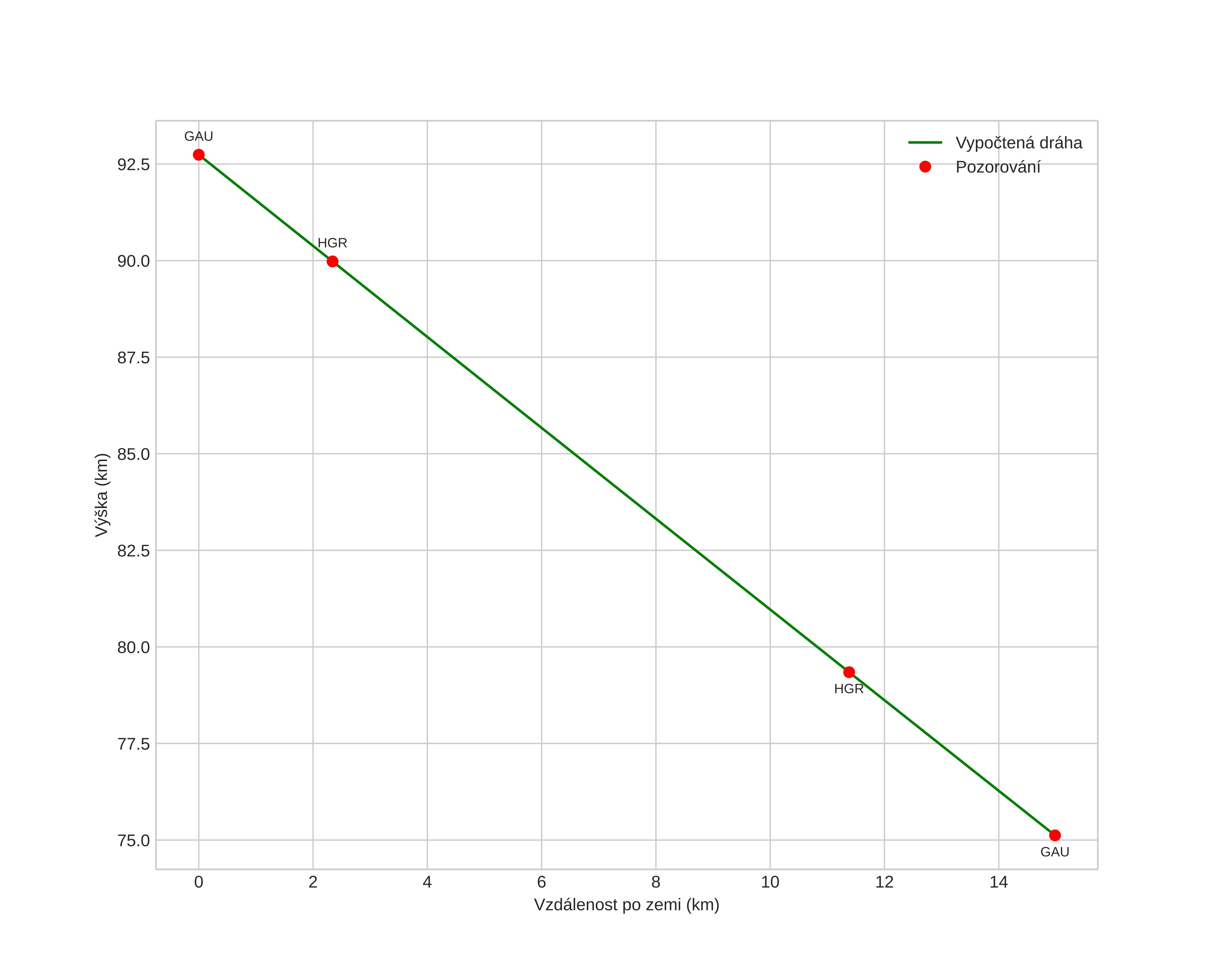
height profile
Atmosférická dráha meteoru:
Počáteční výška: 92,7 km
Konečná výška: 75,3 km
Počáteční poloha: 60,862N 8,232E
Konečná poloha: 60,787N 8,001E
Směr: 236,3°
Sklon: 49,2°
VstupnĂ­ rychlost: 25,7 km/s
Rektascenze radiantu: 15:08 (227,0°)
Deklinace radiantu: 55,9°
MeteorickĂ˝ roj: sporadickĂ˝
Elementy dráhy meteoroidu:
Vzdálenost v periheliu: 0,896 AU
Excentricita: 0,260
Sklon dráhy: 41,5°
Délka vzestupného uzlu: 323,1°
Argument perihelia: 236,5°
Střední anomálie: 325,7°
Epocha: 2025 FEB 11 23:18:06
orbit plot

NeinteraktivnĂ­ graf | InteraktivnĂ­ graf

position vs time
speed and acceleration