🇳🇴 🇬🇧 🇩🇪 🇨🇿 🇫🇮

Meteor, poloha: Malung 2025-02-15 05:22:18 UTC

Soubor KML  |  InteraktivnĂ­ mapa

Mapa zobrazuje dráhy meteoru. Světlejší čáry ukazují směry od pozorovacích stanic při objevení se meteoru a tmavší čáry, kde byl naposledy viděn. Modrá šipka značí viditelnou dráhu meteoru.

static map
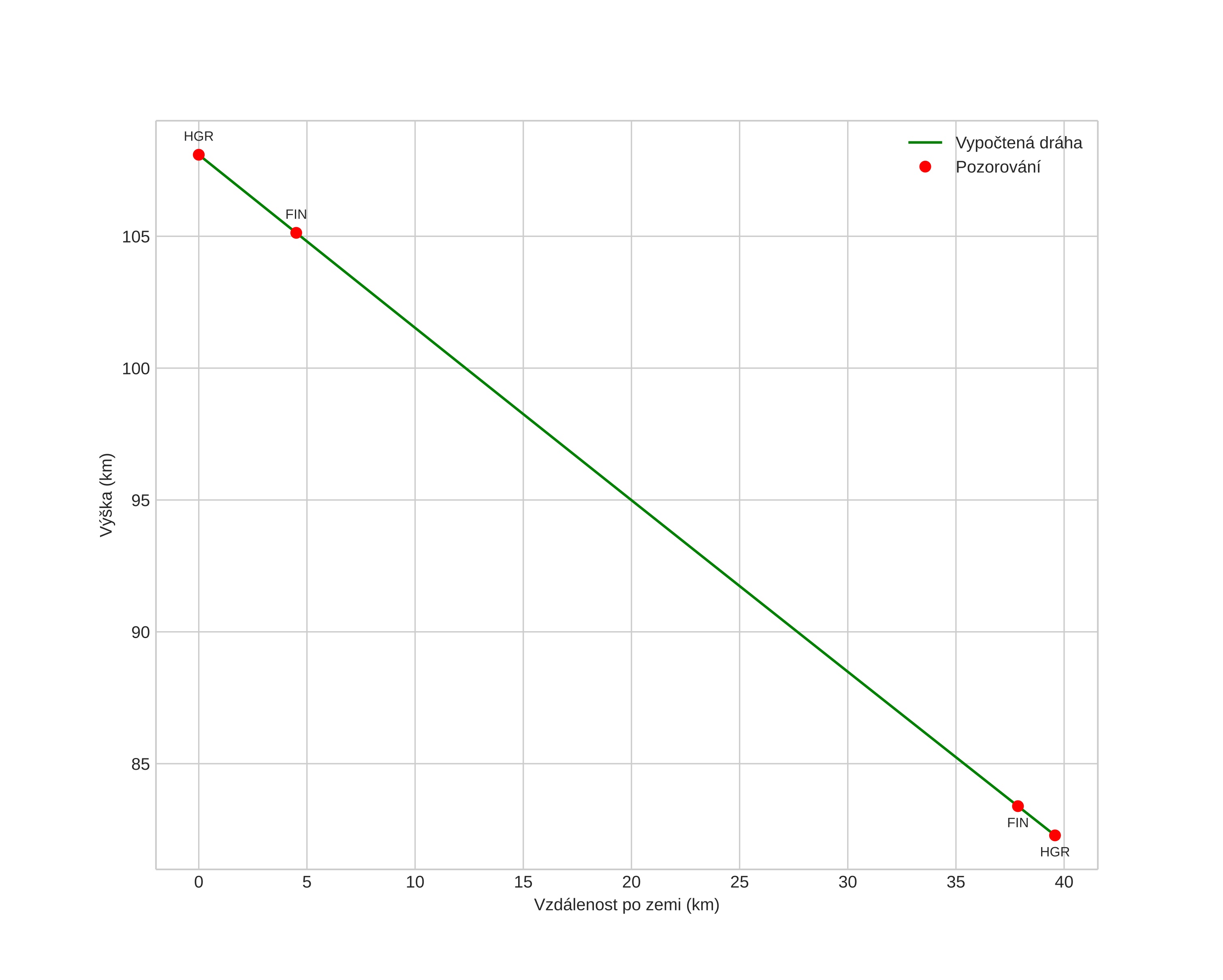
height profile
Atmosférická dráha meteoru:
Počáteční výška: 108,1 km
Konečná výška: 82,5 km
Počáteční poloha: 60,622N 13,806E
Konečná poloha: 60,870N 13,297E
Směr: 315,0°
Sklon: 33,3°
VstupnĂ­ rychlost: 55,8 km/s
Rektascenze radiantu: 18:25 (276,4°)
Deklinace radiantu: 10,2°
MeteorickĂ˝ roj: sporadickĂ˝
Elementy dráhy meteoroidu:
Vzdálenost v periheliu: 0,500 AU
Excentricita: 1,024
Sklon dráhy: 97,8°
Délka vzestupného uzlu: 326,4°
Argument perihelia: 91,4°
Střední anomálie: 0,4°
Epocha: 2025 FEB 15 05:22:18
orbit plot

NeinteraktivnĂ­ graf | InteraktivnĂ­ graf

position vs time
speed and acceleration

Finnskogen (FIN) cam7


gnomonic
Videa
• Gnomonická
• Gnomonická se souřadnicemi
• Původní
• Původní se souřadnicemi
Obrázky
• Gnomonická
• Gnomonická se souřadnicemi
• Gnomonická s popisky
• Původní
• Původní se souřadnicemi
Textové soubory
• Detekce
• Pozorování
• Souřadnice
• Protokol
Jasnost