🇳🇴 🇬🇧 🇩🇪 🇨🇿 🇫🇮

Meteor, poloha: Torsby 2025-02-16 00:06:38 UTC

Soubor KML  |  InteraktivnĂ­ mapa

Mapa zobrazuje dráhy meteoru. Světlejší čáry ukazují směry od pozorovacích stanic při objevení se meteoru a tmavší čáry, kde byl naposledy viděn. Modrá šipka značí viditelnou dráhu meteoru.

static map
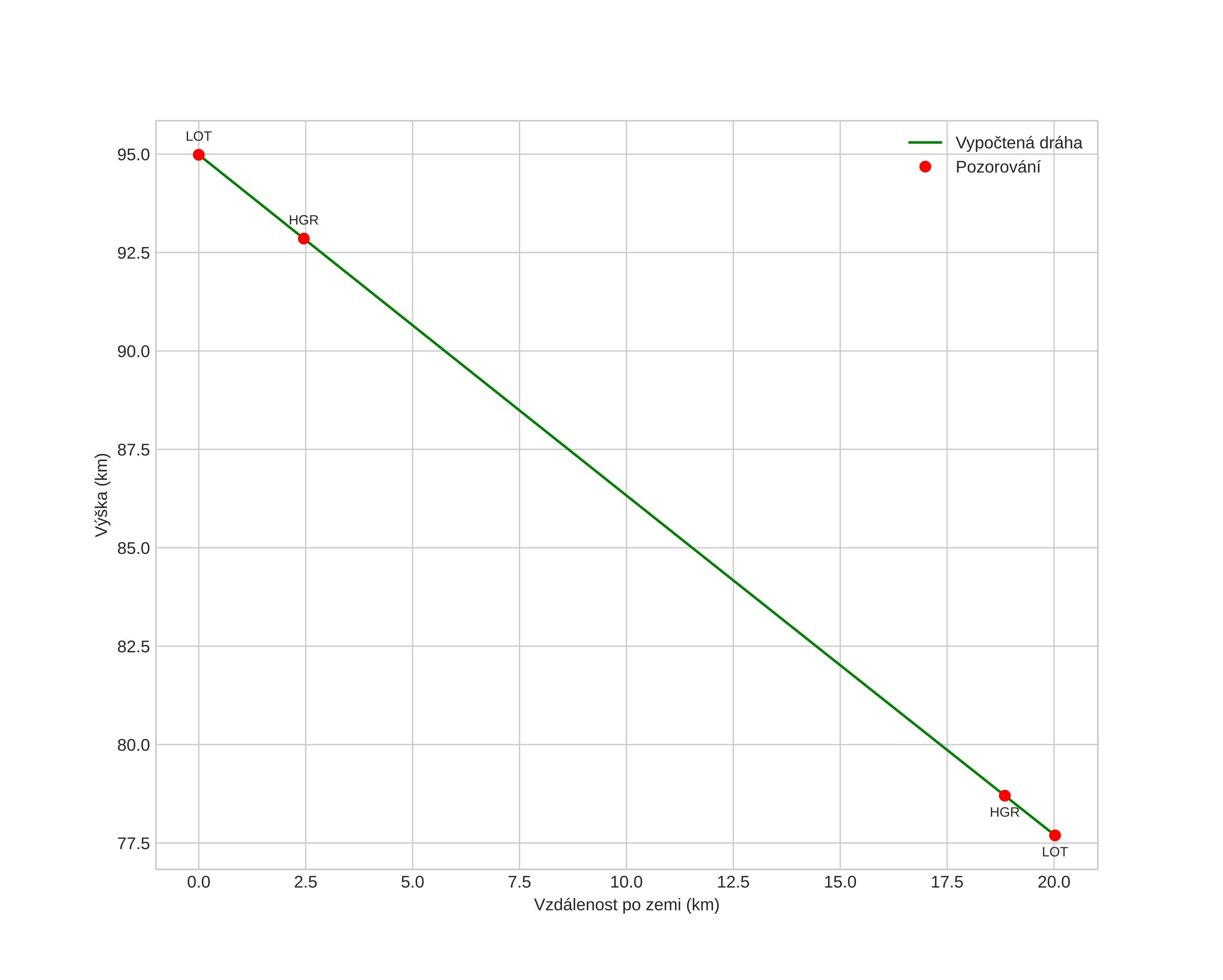
height profile
Atmosférická dráha meteoru:
Počáteční výška: 94,9 km
Konečná výška: 77,2 km
Počáteční poloha: 60,853N 13,025E
Konečná poloha: 60,703N 12,816E
Směr: 214,3°
Sklon: 41,2°
VstupnĂ­ rychlost: 32,5 km/s
Rektascenze radiantu: 18:41 (280,5°)
Deklinace radiantu: 60,3°
MeteorickĂ˝ roj: sporadickĂ˝
Elementy dráhy meteoroidu:
Vzdálenost v periheliu: 0,977 AU
Excentricita: 0,974
Sklon dráhy: 46,1°
Délka vzestupného uzlu: 327,2°
Argument perihelia: 168,1°
Střední anomálie: 0,0°
Epocha: 2025 FEB 16 00:06:38
orbit plot

NeinteraktivnĂ­ graf | InteraktivnĂ­ graf

position vs time
speed and acceleration