🇳🇴 🇬🇧 🇩🇪 🇨🇿 🇫🇮

Meteor, poloha: Bagn 2025-02-16 00:59:41 UTC

Soubor KML  |  InteraktivnĂ­ mapa

Mapa zobrazuje dráhy meteoru. Světlejší čáry ukazují směry od pozorovacích stanic při objevení se meteoru a tmavší čáry, kde byl naposledy viděn. Modrá šipka značí viditelnou dráhu meteoru.

static map
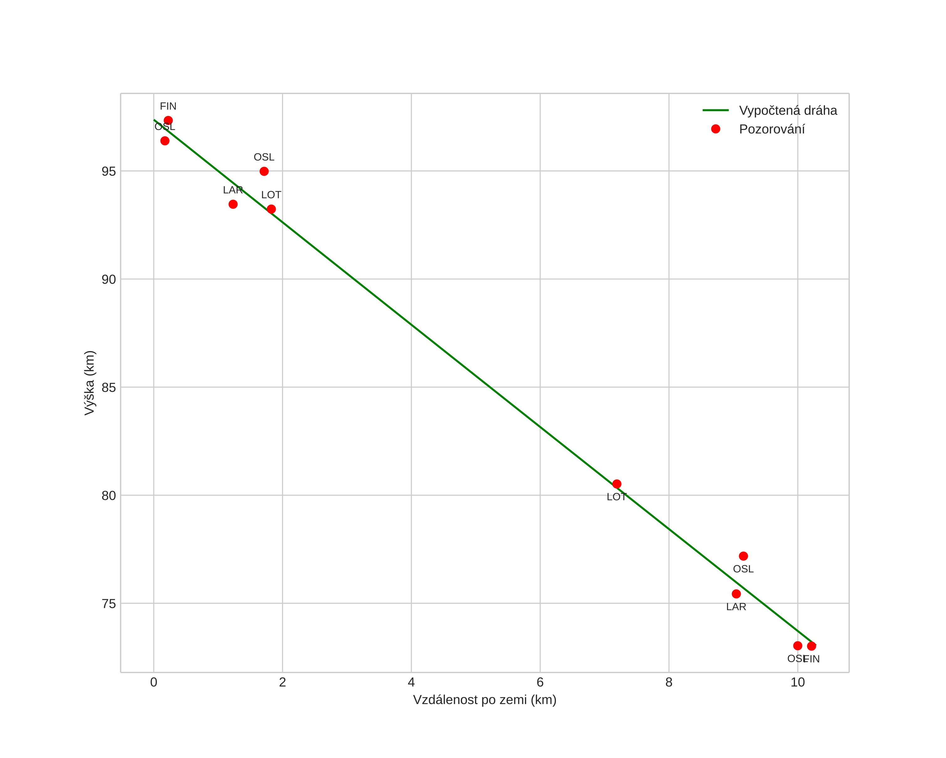
height profile
Atmosférická dráha meteoru:
Počáteční výška: 97,6 km
Konečná výška: 72,2 km
Počáteční poloha: 60,676N 9,227E
Konečná poloha: 60,674N 9,428E
Směr: 90,6°
Sklon: 66,7°
VstupnĂ­ rychlost: 18,8 km/s
Rektascenze radiantu: 08:16 (124,2°)
Deklinace radiantu: 51,4°
MeteorickĂ˝ roj: sporadickĂ˝
Elementy dráhy meteoroidu:
Vzdálenost v periheliu: 0,906 AU
Excentricita: 0,765
Sklon dráhy: 11,8°
Délka vzestupného uzlu: 327,2°
Argument perihelia: 216,1°
Střední anomálie: 356,7°
Epocha: 2025 FEB 16 00:59:41
orbit plot

NeinteraktivnĂ­ graf | InteraktivnĂ­ graf

position vs time
speed and acceleration