🇳🇴 🇬🇧 🇩🇪 🇨🇿 🇫🇮

Meteor, poloha: Arendal 2025-02-16 02:49:24 UTC

Soubor KML  |  InteraktivnĂ­ mapa

Mapa zobrazuje dráhy meteoru. Světlejší čáry ukazují směry od pozorovacích stanic při objevení se meteoru a tmavší čáry, kde byl naposledy viděn. Modrá šipka značí viditelnou dráhu meteoru.

static map
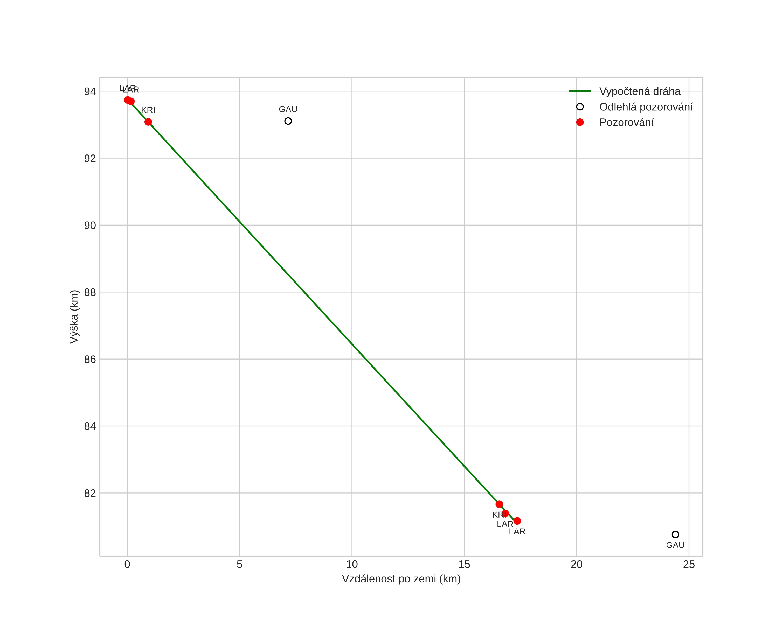
height profile
Atmosférická dráha meteoru:
Počáteční výška: 93,5 km
Konečná výška: 80,6 km
Počáteční poloha: 58,017N 8,953E
Konečná poloha: 58,086N 9,226E
Směr: 64,4°
Sklon: 36,0°
VstupnĂ­ rychlost: 28,7 km/s
Rektascenze radiantu: 09:42 (145,5°)
Deklinace radiantu: 16,2°
MeteorickĂ˝ roj: sporadickĂ˝
Elementy dráhy meteoroidu:
Vzdálenost v periheliu: 0,590 AU
Excentricita: 0,961
Sklon dráhy: 1,8°
Délka vzestupného uzlu: 327,3°
Argument perihelia: 259,7°
Střední anomálie: 359,4°
Epocha: 2025 FEB 16 02:49:24
orbit plot

NeinteraktivnĂ­ graf | InteraktivnĂ­ graf

position vs time
speed and acceleration